题目内容

做匀速直线运动的质点,连续两个1s内的平均速度之差是3m/s,则质点运动的加速度为_______

答案:3
解析:

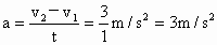
设前1s内的平均速度为.后1s内的平均速度为.由知,对应的中间时刻的瞬时速度.取t=1s,则.又因为.所以得加速度


练习册系列答案
相关题目

违法和不良信息举报电话:027-86699610 举报邮箱:58377363@163.com

精英家教网