题目内容
如图所示,相隔一定距离的竖直边界两侧为相同的匀强磁场区,磁场方向垂直纸面向里,在边界上固定两长为L的平行金属极板MN和PQ,两极板中心各有一小孔S1、S2,两极板间电压的变化规律如图乙所示,正反向电压的大小均为U,周期为T.在t=0时刻将一个质量为m电量为-q(q>0)的粒子由S1静止释放,粒子在电场力的作用下向右运动,在(1)求粒子到达S2时的速度大小v和极板间距d;
(2)为使粒子不与极板相撞,求磁感应强度的大小应满足的条件.
(3)若已保证了粒子未与极板相撞,为使粒子在t=3T时刻再次到达S2,且速度恰好为零,求该过程中粒子在磁场内运动的时间和磁感应强度的大小.
【答案】分析:(1)粒子在匀强电场中做匀加速直线运动,电场力做功等于粒子动能的增加;
(2)使粒子不与极板相撞,则运动的半径大于
;
(3)粒子在t=3T时刻再次到达S2,且速度恰好为零,则从s1再次进入电场时的时刻是
,粒子在左右磁场中的时间是相等的,故从右向左穿过电场的中间时刻是
,通过与图乙比较,可以知道从右向左穿过电场时,前半段做减速运动,后半段做加速运动,前后对称;要求该过程中粒子在磁场内运动的时间,就要求出粒子从右向左穿过电场的时间.
解答:解:(1)粒子在匀强电场中电场力做功等于粒子动能的增加,得:

代入数据,得:
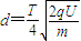
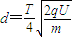
又:
,
联立以上两式,得:
(2)粒子在磁场中做匀速圆周运动,洛伦兹力提供向心力,即:
,
得:
使粒子不与极板相撞,则运动的半径
联立以上两式,得:
(3)粒子在t=3T时刻再次到达S2,且速度恰好为零,则从s1再次进入电场时的时刻是
;粒子在左右磁场中的时间是相等的,故从右向左穿过电场的中间时刻是
,通过与图乙比较,可以知道从右向左穿过电场时,前半段做减速运动,后半段做加速运动,前后对称.设粒子减速运动时间t时,位移恰好是
,粒子受到的电场力:F=qE
电场强度:
,
加速度:
,
粒子做减速运动,
联立以上几个公式,解得:
粒子在磁场中运动的总时间:
粒子在左右磁场中的时间是相等的且都是半个周期,所以粒子运动的总时间是一个周期,即t′=T;粒子在磁场中做匀速圆周运动,洛伦兹力提供向心力,得:
,vT=2πr
得:
.
答:(1)粒子到达S2时的速度
和极板间距
;
(2)磁感应强度的大小应满足的条件
;
(3)粒子在磁场内运动的时间
,磁感应强度的
.
点评:该题中粒子在左右磁场中的时间是相等的,故从右向左穿过电场的中间时刻是
,且从右向左穿过电场时,前半段做减速运动,后半段做加速运动,前后对称;是解题的关键.该题解题的过程复杂,公式较多,容易在解题的过程中出现错误.属于难度大的题目.
(2)使粒子不与极板相撞,则运动的半径大于
(3)粒子在t=3T时刻再次到达S2,且速度恰好为零,则从s1再次进入电场时的时刻是
解答:解:(1)粒子在匀强电场中电场力做功等于粒子动能的增加,得:
代入数据,得:
又:
联立以上两式,得:
(2)粒子在磁场中做匀速圆周运动,洛伦兹力提供向心力,即:
得:
使粒子不与极板相撞,则运动的半径
联立以上两式,得:
(3)粒子在t=3T时刻再次到达S2,且速度恰好为零,则从s1再次进入电场时的时刻是
电场强度:
加速度:
粒子做减速运动,
联立以上几个公式,解得:
粒子在磁场中运动的总时间:
粒子在左右磁场中的时间是相等的且都是半个周期,所以粒子运动的总时间是一个周期,即t′=T;粒子在磁场中做匀速圆周运动,洛伦兹力提供向心力,得:
得:
答:(1)粒子到达S2时的速度
(2)磁感应强度的大小应满足的条件
(3)粒子在磁场内运动的时间
点评:该题中粒子在左右磁场中的时间是相等的,故从右向左穿过电场的中间时刻是
练习册系列答案
相关题目
| A、t=4s 时,两球相对于各自抛出点的位移相等 | B、t=3s 时,两球高度差一定为20m | C、两球从抛出至落到地面所用的时间间隔相等 | D、甲、乙两球从抛出至达到最高点的时间间隔相等 |