题目内容
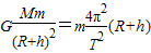
2007年10月24日,我国“嫦娥一号”探月卫星成功发射.“嫦娥一号”卫星开始绕地球做椭圆轨道运动,经过变轨、制动后,成为一颗绕月球做圆轨道运动的卫星.设卫星距月球表面的高度为h,做匀速圆周运动的周期为T.已知月球半径为R,引力常量为G.求:(1)月球的质量M;
(2)月球表面的重力加速度g;
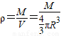
(3)月球的密度ρ.
【答案】分析:研究“嫦娥一号”绕月球做匀速圆周运动,根据万有引力提供向心力,列出等式求出中心体的质量.
忽略月球自转的影响,根据万有引力等于重力列出等式.
根据密度的公式进行求解.
解答:解:(1)研究“嫦娥一号”绕月球做匀速圆周运动,根据万有引力提供向心力,列出等式:

得:
(2)忽略月球自转的影响,根据万有引力等于重力列出等式:
月球表面:
=mg

(3)
得:
答:(1)月球的质量M是
;
(2)月球表面的重力加速度g是
;
(3)月球的密度ρ是
.
点评:向心力的公式选取要根据题目提供的已知物理量或所求解的物理量选取应用.
运用万有引力提供向心力列出等式.
万有引力定律得应用要结合圆周运动的知识解决问题.
忽略月球自转的影响,根据万有引力等于重力列出等式.
根据密度的公式进行求解.
解答:解:(1)研究“嫦娥一号”绕月球做匀速圆周运动,根据万有引力提供向心力,列出等式:
得:
(2)忽略月球自转的影响,根据万有引力等于重力列出等式:
月球表面:
(3)
得:
答:(1)月球的质量M是
(2)月球表面的重力加速度g是
(3)月球的密度ρ是
点评:向心力的公式选取要根据题目提供的已知物理量或所求解的物理量选取应用.
运用万有引力提供向心力列出等式.
万有引力定律得应用要结合圆周运动的知识解决问题.
练习册系列答案
相关题目