题目内容

一个物体受到竖直向上的拉力.由静止开始运动,如图所示.向上的拉力F为640N,物体在最初的2s内的位移为6m,问物体的质量是多少?

答案:50kg
解析:

如图建立坐标系,以物体的运动方向为y轴的正方向,由牛顿第二定律

FG=Fmg=ma

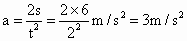
由匀变速直线运动公式

所以

由①可得


练习册系列答案
相关题目

违法和不良信息举报电话:027-86699610 举报邮箱:58377363@163.com

精英家教网