题目内容

氢原子的核外电子从距核较近的轨道跃迁到距核较远的轨道过程中:

[  ]

A.原子要吸收光子,电子的动能增大,原子的电势能增大

B.原子要放出光子,电子的动能减小,原子的电势能减小

C.原子要吸收光子,电子的动能增大,原子的电势能减小

D.原子要吸收光子,电子的动能减小,原子的电势能增大

答案:D
解析:

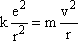
  解析:根据玻尔理论,氢原子核外电子在离核越远的轨道上运动能量越大,必须吸收一定能量的光子后,电子才能从离核较近的轨道跃迁到离核较远的轨道,选项B可先排除.氢原子核外电子的绕核运动,由原子核对电子的库仑力作向心力,即,电子的动能,离核越远,即r越大时,电子的动能越小.由此又可排除选项A、C.电子在不同轨道之间跃迁时,整个原子系统电势能的变化可从两方面加以判断:
提示:

练习册系列答案
相关题目

违法和不良信息举报电话:027-86699610 举报邮箱:58377363@163.com

精英家教网