题目内容
两个靠得很近的天体,离其它天体非常遥远,它们以其连线上某一点O为圆心各自做匀速圆周运动,两者的距离保持不变,科学家把这样的两个天体称为“双星”,如图所示.已知双星的质量为m1和m2,它们之间的距离为L.求双星运行轨道半径r1和r2,以及运行的周期T.
【答案】分析:双星以两者连线上某点为圆心,各自做匀速圆周运动,向心力由对方的万有引力提供,而且双星的条件是角速度相同,根据牛顿第二定律隔离两个天体分别研究,再求解双星运行轨道半径和周期.
解答:
解:如图,
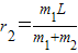
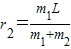
设双星中质量为m1的天体轨道半径为r1,质量为m1的天体轨道半径为r2
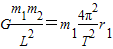
据万有引力定律和牛顿第二定律,得:
①
②
r1+r2=L③
由①②③联立解得:


再由:
得
运行的周期T=
答:双星运行轨道半径分别为:
,
,周期为
点评:本题是双星问题,与卫星绕地球运动模型不同,两颗星都绕同一圆心做匀速圆周运动,关键抓住条件:周期相同.
解答:
设双星中质量为m1的天体轨道半径为r1,质量为m1的天体轨道半径为r2
据万有引力定律和牛顿第二定律,得:
r1+r2=L③
由①②③联立解得:
再由:
运行的周期T=
答:双星运行轨道半径分别为:
点评:本题是双星问题,与卫星绕地球运动模型不同,两颗星都绕同一圆心做匀速圆周运动,关键抓住条件:周期相同.
练习册系列答案
相关题目