ÌâÄ¿ÄÚÈÝ
ÓÃÈçͼËùʾµÄʵÑé×°ÖÃÑéÖ¤»úеÄÜÊØºã¶¨ÂÉ£¬ÊµÑéËùÓõĵçԴΪѧÉúµçÔ´£¬Êä³öµçѹΪ6VµÄ½»Á÷µçºÍÖ±Á÷µçÁ½ÖÖ£®ÖØ´¸´Ó¸ß´¦Óɾ²Ö¹¿ªÊ¼ÏÂÂ䣬֨´¸ÉÏÍÏ×ŵÄÖ½´ø´ò³öһϵÁеĵ㣬¶ÔÖ½´øÉϵĵ㼣½øÐвâÁ¿¡¢·ÖÎö£¬¼´¿ÉÑéÖ¤»úеÄÜÊØºã¶¨ÂÉ£®£¨1£©ÏÂÃæÁоÙÁ˸ÃʵÑéµÄ¼¸¸ö²Ù×÷²½Ö裺
A£®°´ÕÕͼʾµÄ×°Öð²×°Æ÷¼þ£»
B£®½«´òµã¼ÆÊ±Æ÷½Óµ½µçÔ´µÄ¡°Ö±Á÷¡±ÉÏ£»
C£®ÏÈÊÍ·ÅÖ½´ø£¬ÔÙ½ÓͨµçÔ´´ò³öÒ»ÌõÖ½´ø£»
D£®²âÁ¿Ö½´øÉÏijЩµã¼äµÄ¾àÀ룻
E£®¸ù¾Ý²âÁ¿µÄ½á¹û£¬·Ö±ð¼ÆËãÖØ´¸ÏÂÂä¹ý³ÌÖмõÉÙµÄÖØÁ¦ÊÆÄܺÍÔö¼ÓµÄ¶¯ÄÜ£®
ÆäÖвÙ×÷²»µ±µÄ²½ÖèÊÇ£º £¨ÌîÑ¡Ïî¶ÔÓ¦µÄ×Öĸ£©
£¨2£©ÕýÈ·²Ù×÷ºó´ò³öµÄÖ½´øÈçͼËùʾ£¬¸ù¾Ý´ò³öµÄÖ½´ø£¬Ñ¡È¡Ö½´øÉÏÁ¬ÐøµÄÎå¸öµãA¡¢B¡¢C¡¢D¡¢E£¬²â³öACµÄ¾àÀëΪs1£¬CEµÄ¾àÀëΪs2£¬´òµãµÄƵÂÊΪf£¬¸ù¾ÝÕâЩÌõ¼þ£¬¼ÆËã´òCµãÊ±ÖØ´¸ÏÂÂäµÄËÙÂÊvc=
£¨3£©ÊµÑéÖз¢ÏÖ£¬ÖØ´¸¼õСµÄÖØÁ¦ÊÆÄÜ´óÓÚÖØ´¸¶¯ÄܵÄÔöÁ¿£¬ÆäÖ÷ÒªÔÒòÊÇÔÚÖØ´¸ÏÂÂäµÄ¹ý³ÌÖдæÔÚ×èÁ¦×÷Óã¨Éè×èÁ¦ºã¶¨£©£¬¿ÉÒÔͨ¹ý¸ÃʵÑé×°Öòâ×èÁ¦µÄ´óС£®ÈôÒÑÖªµ±µØÖØÁ¦¼ÓËÙ¶ÈΪg£¬ÖØ´¸µÄÖÊÁ¿Îªm£®ÊÔÓÃÕâЩÎïÀíÁ¿ºÍÉÏͼֽ´øÉϵÄÊý¾Ý·ûºÅ±íʾ³öÖØ´¸ÔÚÏÂÂä¹ý³ÌÖÐÊܵ½µÄ×èÁ¦´óСF= £®
¡¾´ð°¸¡¿·ÖÎö£º½â¾öʵÑéÎÊÌâÊ×ÏÈÒªÕÆÎÕ¸ÃʵÑéÔÀí£¬Á˽âʵÑéµÄÒÇÆ÷¡¢²Ù×÷²½ÖèºÍÊý¾Ý´¦ÀíÒÔ¼°×¢ÒâÊÂÏ
Ö½´ø·¨ÊµÑéÖУ¬ÈôÖ½´øÔȱäËÙÖ±ÏßÔ˶¯£¬²âµÃÖ½´øÉϵĵã¼ä¾à£¬ÀûÓÃÔȱäËÙÖ±ÏßÔ˶¯µÄÍÆÂÛ£¬¿É¼ÆËã³ö´ò³öijµãʱֽ´øÔ˶¯µÄ˲ʱËٶȺͼÓËÙ¶È£¬´Ó¶øÇó³ö¶¯ÄÜ£®
ÔËÓÃÅ£¶ÙµÚ¶þ¶¨ÂÉÇó³ö×èÁ¦£®
½â´ð£º½â£º£¨1£©ÆäÖвÙ×÷²»µ±µÄ²½ÖèÊÇ£ºBC
B¡¢µç»ð»¨ºÍµç´Å¼ÆÊ±Æ÷¶¼Ê¹Óý»Á÷µçÔ´£®
C¡¢ÊµÑéʱ£¬Ó¦ÏÈÊÍ·ÅÖØÎÔÙ½Óͨ´òµã¼ÆÊ±Æ÷µçÔ´£¬ÓÉÓÚÖØÎïÔ˶¯½Ï¿ì£¬¿ÉÄÜ»áʹ´ò³öÀ´µÄµãºÜÉÙ£¬²»ÀûÓÚÊý¾ÝµÄ²É¼¯ºÍ´¦Àí£®
£¨2£©ÀûÓÃÔȱäËÙÖ±ÏßÔ˶¯µÄÍÆÂÛ
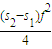
=
vC=
=
=
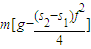
£¨3£©ÀûÓÃÔȱäËÙÖ±ÏßÔ˶¯µÄÍÆÂÛ¡÷x=at2
a=
=
¶ÔÖØÎïÔËÓÃÅ£¶ÙµÚ¶þ¶¨Âɵãº
mg-f=ma
f=mg-ma=
£®
¹Ê´ð°¸Îª£º£¨1£©BC
£¨2£©
£¨3£©
£®
µãÆÀ£ºÖ½´øÎÊÌâµÄ´¦ÀíʱÁ¦Ñ§ÊµÑéÖг£¼ûµÄÎÊÌ⣮ÎÒÃÇ¿ÉÒÔÖ½´ø·¨ÊµÑéÖУ¬ÈôÖ½´øÔȱäËÙÖ±ÏßÔ˶¯£¬²âµÃÖ½´øÉϵĵã¼ä¾à£¬ÀûÓÃÔȱäËÙÖ±ÏßÔ˶¯µÄÍÆÂÛ£¬¿É¼ÆËã³ö´ò³öijµãʱֽ´øÔ˶¯µÄ˲ʱËٶȺͼÓËÙ¶È£®
Ö½´ø·¨ÊµÑéÖУ¬ÈôÖ½´øÔȱäËÙÖ±ÏßÔ˶¯£¬²âµÃÖ½´øÉϵĵã¼ä¾à£¬ÀûÓÃÔȱäËÙÖ±ÏßÔ˶¯µÄÍÆÂÛ£¬¿É¼ÆËã³ö´ò³öijµãʱֽ´øÔ˶¯µÄ˲ʱËٶȺͼÓËÙ¶È£¬´Ó¶øÇó³ö¶¯ÄÜ£®
ÔËÓÃÅ£¶ÙµÚ¶þ¶¨ÂÉÇó³ö×èÁ¦£®
½â´ð£º½â£º£¨1£©ÆäÖвÙ×÷²»µ±µÄ²½ÖèÊÇ£ºBC
B¡¢µç»ð»¨ºÍµç´Å¼ÆÊ±Æ÷¶¼Ê¹Óý»Á÷µçÔ´£®
C¡¢ÊµÑéʱ£¬Ó¦ÏÈÊÍ·ÅÖØÎÔÙ½Óͨ´òµã¼ÆÊ±Æ÷µçÔ´£¬ÓÉÓÚÖØÎïÔ˶¯½Ï¿ì£¬¿ÉÄÜ»áʹ´ò³öÀ´µÄµãºÜÉÙ£¬²»ÀûÓÚÊý¾ÝµÄ²É¼¯ºÍ´¦Àí£®
£¨2£©ÀûÓÃÔȱäËÙÖ±ÏßÔ˶¯µÄÍÆÂÛ
vC=
£¨3£©ÀûÓÃÔȱäËÙÖ±ÏßÔ˶¯µÄÍÆÂÛ¡÷x=at2
a=
¶ÔÖØÎïÔËÓÃÅ£¶ÙµÚ¶þ¶¨Âɵãº
mg-f=ma
f=mg-ma=
¹Ê´ð°¸Îª£º£¨1£©BC
£¨2£©
£¨3£©
µãÆÀ£ºÖ½´øÎÊÌâµÄ´¦ÀíʱÁ¦Ñ§ÊµÑéÖг£¼ûµÄÎÊÌ⣮ÎÒÃÇ¿ÉÒÔÖ½´ø·¨ÊµÑéÖУ¬ÈôÖ½´øÔȱäËÙÖ±ÏßÔ˶¯£¬²âµÃÖ½´øÉϵĵã¼ä¾à£¬ÀûÓÃÔȱäËÙÖ±ÏßÔ˶¯µÄÍÆÂÛ£¬¿É¼ÆËã³ö´ò³öijµãʱֽ´øÔ˶¯µÄ˲ʱËٶȺͼÓËÙ¶È£®
Á·Ï°²áϵÁдð°¸
Ïà¹ØÌâÄ¿