题目内容

(10分)如图所示,两平行金属板间距为d,电势差为U,板间电场可视为匀强电场;金属板下方有一磁感应强度为B的匀强磁场。带电量为+q、质量为m的粒子,由静止开始从正极板出发,经电场加速后射出,并进入磁场做匀速圆周运动。忽略重力的影响,求:

(1)匀强电场场强E的大小;

(2)粒子从电场射出时速度ν的大小;

(3)粒子在磁场中做匀速圆周运动的半径R。

 

【答案】

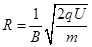
(1)   (2)    (3)

【解析】

试题分析:(1)根据匀强电场电势差和电场强度的关系得:匀强电场场强E的大小

(2)设带电粒子出电场时速度为,由动能定理得:,解得:    ①

(3)带电粒子在磁场中做匀速圆周运动,洛伦兹力提供向心力,由牛顿第二定律得:

         ②  

 ①②联立解得:

考点:带电粒子在匀强磁场中的运动;牛顿第二定律;向心力;带电粒子在匀强电场中的运动

 

练习册系列答案
相关题目

违法和不良信息举报电话:027-86699610 举报邮箱:58377363@163.com

精英家教网