题目内容
A.甲图中的电表是电压表,输电电压为22000V
B.甲图是电流互感器.输电电流是100A
C.乙图中的电表是电压表,输电电压为22000V
D.乙图是电流互感器,输电电流是100A
【答案】分析:甲图是电压互感器,乙图是电流互感器.变压器原副线圈的电压比等于匝数比.只有一个副线圈的变压器,原副线圈中的电流比等于匝数的反比.
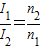
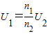
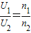
解答:解:A、根据变压器电压表等于匝数比
,有
=
,故A正确.
B、甲图是电压互感器.故B错.
C、乙图是电流互感器,电表是电流表.故C错.
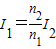
D、只有一个副线圈的变压器,电流比等于匝数的反比
,有
=
,故D正确.
故选AD.
点评:电压互感器原线圈并接在两个输电线上,原线圈的匝数比副线圈的匝数多,是降压变压器,把高电压降低成低电压,副线圈接电压表.电流互感器原线圈串接在某一根输电线中,原线圈匝数比副线圈匝数少,原线圈中是大电流,副线圈中是小电流,副线圈接的是电流表.
解答:解:A、根据变压器电压表等于匝数比
B、甲图是电压互感器.故B错.
C、乙图是电流互感器,电表是电流表.故C错.
D、只有一个副线圈的变压器,电流比等于匝数的反比
故选AD.
点评:电压互感器原线圈并接在两个输电线上,原线圈的匝数比副线圈的匝数多,是降压变压器,把高电压降低成低电压,副线圈接电压表.电流互感器原线圈串接在某一根输电线中,原线圈匝数比副线圈匝数少,原线圈中是大电流,副线圈中是小电流,副线圈接的是电流表.
练习册系列答案
相关题目