题目内容
某同学用如图1所示装置测量重力加速度g,所用交流电频率为50Hz.在所选纸带上取某点为0号计数点,然后每3个点取一个计数点,所有测量数据及其标记符号如图2所示(1)本实验中,电磁式打点计时器所使用的电源是 (填“甲”或“乙”)
甲--电压合适的50Hz的交流电源;
乙--电压可调的直流电源;
(2)设相邻两个计数点的时间间隔为T,则计算重力加速度的表达式为 ;重力加速度的计算结果是g= m/s2(结果保留3位有效数字)
【答案】分析:打点计时器有电磁打点计时器和火花计时器两种,它们都是使用交流电源的仪器.在用△s=a
求加速度时,若两相邻的相等时间内的位移差不相等,应用“二分法”求平均加速度.
解答:解:(1)因为打点计时器的使用的4~6V的交流电源,故应填甲.
(2)由△s=a
,可用“二分法”求平均加速度,方法是将0到6分成0到3和3到6两段,
=(
),
=(
),t=3T,则a=
=
,
代入数据得a=8.67m/
.
故答案为(1)甲
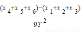
(2)
,8.67
点评:所谓“二分法”实际上利用了等效思想,即把整段时间等效分成两段组成,这样求加速度时要比“逐差法”更好操作.
解答:解:(1)因为打点计时器的使用的4~6V的交流电源,故应填甲.
(2)由△s=a
代入数据得a=8.67m/
故答案为(1)甲
(2)
点评:所谓“二分法”实际上利用了等效思想,即把整段时间等效分成两段组成,这样求加速度时要比“逐差法”更好操作.
练习册系列答案
相关题目
(1)某同学在研究“对不同物体做相同功情况下,物体质量与速度的关系”时,提出了以下四种猜想:
A.m∞υ
B.
C.m∞υ2
D.
为验证猜想的正确性,该同学用如图1所示的装置进行实验:将长木板平放在水平桌面上,木块固定在长木板一端,打点计时器固定在木块上,木块右侧固定一轻弹簧,用连接纸带的小车压缩弹簧至长木板的虚线处由静止释放,打点计时器在纸带上打下一系列点,选取点迹均匀的一部分纸带,计算出小车匀速运动的速度υ1,测出小车的质量m1;然后在小车上加砝码,再次压缩弹簧至木板虚线处由静止释放小车,计算出小车和砝码匀速运动的速度υ2,测出小车和砝码的总质量m2:再在小车上加砝码,重复以上操作,分别测出υ3、m3….

①每次实验中,都将小车压缩弹簧至长木板的虚线处由静止释放,目的是______;若要消除每次实验中小车和纸带受到的阻力对小车运动的影响,应进行的实验操作是______.
②某次实验采集的五组数据如表:由表格数据直观判断,明显不正确的两个猜想是A、B、C、D中的______;若对某个猜想进行数据处理并作图,画出了如图2所示的图象,则图中的横坐标应是______.
(2)冬、春季节降水量少,广东沿海附近江河水位较低,涨潮时海水倒灌,出现“咸潮”现象,使沿海地区的城市自来水中的离子浓度增高,电阻率变小,水质受到影响.某同学设计了一个监测河水电阻率的实验.在一根均匀长度玻璃管两端分别装上橡胶塞和铂电极,如图3所示,两电极相距L=0.314m,管内充满待测的河水.安装前用游标卡尺测量玻璃管的内径,测量结果如图4所示.
为测管内河水电阻供选器材有:
电压表V1:量程15V,内阻约30kΩ
电压表V2:量程3V,内阻约10kΩ
电流表A1:量程0.6A,内阻约0.5Ω
电流表A2:量程150mA,内阻约10Ω
滑动变阻器甲:最大值为10Ω,额定电流足够大
滑动变阻器乙:最大值为1kΩ,额定电流足够大
电源E1:电动势15V,内阻6Ω
电源E2:电动势3V,内阻2Ω
开关、导线若干.
该同学选用以上部分器材测出了9组数据,并在坐标系中标出,如图5所示.
①据图(2)读出玻璃管的内径d=______mm.
②实验时,所选用的电压表为______(填“V1”或“V2”),所选用的电流表为______(填“A1”或“A2”),所选的滑动变阻器为______(填“甲”或“乙”),所选的电源为______(填“E1”或“E2”).
③在答题卡的虚线框内画出该实验的原理图.
A.m∞υ
B.
C.m∞υ2
D.
为验证猜想的正确性,该同学用如图1所示的装置进行实验:将长木板平放在水平桌面上,木块固定在长木板一端,打点计时器固定在木块上,木块右侧固定一轻弹簧,用连接纸带的小车压缩弹簧至长木板的虚线处由静止释放,打点计时器在纸带上打下一系列点,选取点迹均匀的一部分纸带,计算出小车匀速运动的速度υ1,测出小车的质量m1;然后在小车上加砝码,再次压缩弹簧至木板虚线处由静止释放小车,计算出小车和砝码匀速运动的速度υ2,测出小车和砝码的总质量m2:再在小车上加砝码,重复以上操作,分别测出υ3、m3….
①每次实验中,都将小车压缩弹簧至长木板的虚线处由静止释放,目的是______;若要消除每次实验中小车和纸带受到的阻力对小车运动的影响,应进行的实验操作是______.
②某次实验采集的五组数据如表:由表格数据直观判断,明显不正确的两个猜想是A、B、C、D中的______;若对某个猜想进行数据处理并作图,画出了如图2所示的图象,则图中的横坐标应是______.
| m/kg | 0.10 | 0.20 | 0.30 | 0.40 | 0.50 |
| v/ | 1.000 | 0.707 | 0.577 | 0.500 | 0..447 |
为测管内河水电阻供选器材有:
电压表V1:量程15V,内阻约30kΩ
电压表V2:量程3V,内阻约10kΩ
电流表A1:量程0.6A,内阻约0.5Ω
电流表A2:量程150mA,内阻约10Ω
滑动变阻器甲:最大值为10Ω,额定电流足够大
滑动变阻器乙:最大值为1kΩ,额定电流足够大
电源E1:电动势15V,内阻6Ω
电源E2:电动势3V,内阻2Ω
开关、导线若干.
该同学选用以上部分器材测出了9组数据,并在坐标系中标出,如图5所示.
①据图(2)读出玻璃管的内径d=______mm.
②实验时,所选用的电压表为______(填“V1”或“V2”),所选用的电流表为______(填“A1”或“A2”),所选的滑动变阻器为______(填“甲”或“乙”),所选的电源为______(填“E1”或“E2”).
③在答题卡的虚线框内画出该实验的原理图.