题目内容
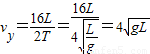
某同学利用图1所示装置做“研究平抛运动”的实验,根据实验结果在坐标纸上描出了小球水平抛出后的运动轨迹,但不慎将画有轨迹图线的坐标纸丢失了一部分,剩余部分如图2所示.图2中水平方向与竖直方向每小格的长度L均为0.10m,P1、P2和P3是轨迹图线上的3个点.完成下列填空:(重力加速度g取9.8m/s2)(1)若已测知抛出后小球在水平方向上做匀速运动,利用图中读取的数据.求出小球从P1运动到P2所用的时间为 ,小球抛出后的水平速度为 (均用L、g表示).
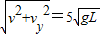
(2)小球运动到P2时的速度为 (用L、g表示),其值为 m/s.
【答案】分析:据竖直方向运动特点△h=gt2,求出物体运动时间,然后利用水平方向运动特点即可求出平抛的初速度(水平速度).
解答:解:(1)根据图(2)可解得:|y1-y2|=6L,|y2-y3|=10L,|x1-x2|=6L
小球经过P1、P2、和P3之间的时间相等,在竖直方向有:h1=6L,h2=10L
连续相等时间内的位移差为常数:△h=gt2,
水平方向匀速运动:x=vt
其中△h=10L-6L=4L,x=6L,代入数据解得:t=
,v=
(2)小球运动到P2时的竖直方向速度
,
所以小球运动到P2时的速度为v=
带入数据得:v=
m/s
故答案为:(1)2
,3
(2)5
,
点评:本题主要考察了平抛运动规律的理解和应用,尤其是有关匀变速直线运动规律以及推论的应用,是一道考查能力的好题目.
解答:解:(1)根据图(2)可解得:|y1-y2|=6L,|y2-y3|=10L,|x1-x2|=6L
小球经过P1、P2、和P3之间的时间相等,在竖直方向有:h1=6L,h2=10L
连续相等时间内的位移差为常数:△h=gt2,
水平方向匀速运动:x=vt
其中△h=10L-6L=4L,x=6L,代入数据解得:t=
(2)小球运动到P2时的竖直方向速度
所以小球运动到P2时的速度为v=
带入数据得:v=
故答案为:(1)2
点评:本题主要考察了平抛运动规律的理解和应用,尤其是有关匀变速直线运动规律以及推论的应用,是一道考查能力的好题目.
练习册系列答案
相关题目