题目内容

如图所示,电灯的重力G=10N,已知AO绳与水平顶板间夹角为30º,BO绳水平,则绳AO及BO绳受到的拉力各为多大?

 

【答案】

20N;N

【解析】

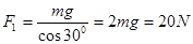
试题分析:以接点O为研究对象,受到三个拉力作用,把OA和OB绳子的拉力进行合成,合力与重力等大反向,由三角函数关系可知

考点:考查受力平衡的分析

点评:本题难度较小,当物体受到三个力而平衡时,应用力的合成或分解方便计算

 

练习册系列答案
相关题目

违法和不良信息举报电话:027-86699610 举报邮箱:58377363@163.com

精英家教网