题目内容

已知地球半径为R,地球表面重力加速度为g,不考虑地球自转的影响.

(1)推导第一宇宙速度v的表达式;

(2)若卫星绕地球做匀速圆周运动,运行轨道距离地面高度为h,求卫星的运行周期T.

答案:
解析:

  (1)设卫星的质量为m,地球的质量为M,

  在地球表面附近满足(2分)

  得

  卫星做圆周运动的向心力等于它受到的万有引力

  ②(2分)

  ①式代入②式,得到(1分)

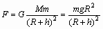
  (2)考虑①式,卫星受到的万有引力为

  ③(1分)

  由牛顿第二定律④(1分)

  ③、④联立解得(1分)


练习册系列答案
相关题目

违法和不良信息举报电话:027-86699610 举报邮箱:58377363@163.com

精英家教网