题目内容

(18分)有一个1000匝的矩形线圈,两端通过导线与平行金属板AB相连(如图所示),线圈中有垂直纸面向外的匀强磁场;已知AB板长为,板间距离为。当穿过线圈的磁通量增大且变化率为时,有一比荷为的带正电粒子以初速度从上板的边缘射入板间,并恰好从下板的边缘射出;之后沿直线MN运动,又从N点射入另一垂直纸面向外磁感应强度为的圆形匀强磁场区(图中未画出),离开圆形磁场时速度方向偏转了。不计带电粒子的重力。试求

(1)AB板间的电压

(2)的大小

(3)圆形磁场区域的最小半径

 

【答案】

(1)200V;(2)2×104m/s;(3)0.14m。

【解析】

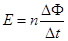
试题分析:(1)由法拉第电磁咸应定律:       ①

得矩形线圈产生的感应电动势        ②

因为AB板间的电压等于线圈产生的电动势,故      ③

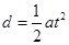
(2)由于带电粒子在AB板间做类平抛运动,设从下板边缘离开时竖直方向的速度为

则极板间的电场强度为E=,粒子受到的电场力为F=Eq=

则粒子在竖直方向的加速度为:        ④

水平方向:     ⑤

竖直方向:    ⑥

由④⑤⑥并代入数据得:      ⑦      (其它方法求解依照给分)

(3)粒子进入磁场瞬间:   ⑧

带电粒子在圆形磁场区中做匀速圆周运动,

洛伦兹力作向心力:     ⑨

粒子进入磁场的速度为     ⑩

由⑧⑨⑩并代入数据得:      11

如图,由几何关系得弦NQ的长为:      12

在过NQ两点的圆中,以弦NQ为直径的圆最小,

圆形磁场区域的最小半径为:    13

评分标准:①③④⑨13每式2分,其余每式1分。

考点:电磁感应定律,类平抛运动,洛沦兹力,粒子在磁场中做圆周运动的规律。

 

练习册系列答案
相关题目
本题共18分,其中(1)问8分,(2)问10分
(1)某同学利用如图图甲所示的实验装置验证机械能守恒定律,其实验的部分原理是利用平抛运动的知识.那么:
①实验中必须要求的条件是
 

A.弧形斜槽必须尽可能的光滑
B.弧形斜槽末端的切线必须水平
C.必须测量出小球的质量m,
D.小球每次必须从同一高度处滚下
精英家教网
②实验中测得弧形斜槽末端离地面的高度为H,将钢球从斜槽的不同高度h处静止释放,钢球的落点距弧形斜槽末端的水平距离为s.则当s2与H、h的理论关系满足s2=
 
时,小球的机械能守恒.
③实验中,该同学发现实验结果不满足理论计算得到的s2-h关系,该同学认为出现这一结果的原因除了摩擦和空气阻力等外,还有一个原因可能是小球的大小,因此又用游标卡尺测了小球的直径,其结果如图图乙所示.关于该同学认为“小球的大小”对结果有影响的分析,你认为正确吗?
 
.(不需说明理由),小球的直径为
 
mm.
(2)(10分)某同学为了测量一个在不同电压下工作时的电热器Rx的阻值,已知电热器的额定电压为12V.在实验结束后,该同学记录的测量数据如下:
U/V 0 1.0 2.2 3.0 5.0 8.0 10.0 12.0
I/A 0 0.08 0.15 0.20 0.30 0.40 0.45 0.50
请根据上述信息完成下列问题:
①(2分)除电热器外,实验室里还给该同学提供了如下器材供选择:
A.电流表(0~3A,0.1Ω)
B.电流表(0~0.6A,10Ω)
C.电压表(0~3V,1kΩ)         D.电压表(0~1 5V,30kΩ)
E.滑动变阻器(0~10Ω,0.3A)    F.滑动变阻器(0~l0Ω,2A)
G.输出电压为l6V的学生电源,H.导线、开关.那么该同学选择使用的器材是:
 
.(填序号)
②(4分)在虚线框内画出实验电路图.
③(4分)在图图丙中的坐标纸上作出U-I图象.并根据图象说明电热器的电阻大小随电压变化的关系
 

违法和不良信息举报电话:027-86699610 举报邮箱:58377363@163.com

精英家教网