题目内容
在光滑水平面上有一弹簧振子.弹簧的劲度系数为K.振子质量为M,振动的最大速度为v,如图所示.当振子在最大位移处时.把质量为m的物体轻放其水平表面上,振子的最大位移大小为A,则:(1)要保持物体和振子一起振动,二者间摩擦力的最大值为多少?
(2)物体和振子一起振动时,二者过平衡位置的速度多大?振幅又是多大?
【答案】分析:(1)要使两个物体一起做简谐运动,由于到达最大位移处时,两物体间的静摩擦力最大,故此时的摩擦力为于最大静摩擦力的最小值;
(2)弹簧振子系统机械能守恒,根据机械能守恒定律列式分析求解.
解答:解:(1)放物体后,假定一起振动,则可以产生最大加速度
此时摩擦力最大,为
即要保持物体和振子一起振动,二者间摩擦力的最大值为
.
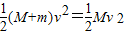
(2)由于物体m是在最大位移处放在M上的,放上后并没有改变系统的机械能.振动中机械能守恒,经过平衡位置时,弹簧为原长,弹性势能为零,则

解得

物体和振子在最大位移处,动能为零,势能最大,这个势能与没放物体前相同,所以弹簧的最大形变是相同的,即振幅还是为A.
即物体和振子一起振动时,二者过平衡位置的速度为
,振幅还是A.
点评:本题关键是对物体受力分析,找到恢复力来源,然后根据机械能守恒定律和牛顿第二定律列式求解.
(2)弹簧振子系统机械能守恒,根据机械能守恒定律列式分析求解.
解答:解:(1)放物体后,假定一起振动,则可以产生最大加速度
此时摩擦力最大,为
即要保持物体和振子一起振动,二者间摩擦力的最大值为
(2)由于物体m是在最大位移处放在M上的,放上后并没有改变系统的机械能.振动中机械能守恒,经过平衡位置时,弹簧为原长,弹性势能为零,则
解得
物体和振子在最大位移处,动能为零,势能最大,这个势能与没放物体前相同,所以弹簧的最大形变是相同的,即振幅还是为A.
即物体和振子一起振动时,二者过平衡位置的速度为
点评:本题关键是对物体受力分析,找到恢复力来源,然后根据机械能守恒定律和牛顿第二定律列式求解.
练习册系列答案
相关题目