题目内容
汽车在水平路面上以10m/s的速度匀速行驶,遇到紧急情况以2m/s2的加速度开始刹车.则从刹车开始的6s内汽车的位移为 m,汽车停止运动前的最后1s的位移为 m.
【答案】分析:根据匀变速直线运动的速度时间公式求出汽车刹车到停止的运动时间,结合运动学公式求出刹车后6s内的位移.通过逆向思维,结合位移时间公式求出汽车停止运动前最后1s内的位移大小.
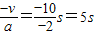
解答:解:汽车刹车到停止所需的时间t=
<6s.
知汽车在6s内的位移等于5s内的位移,则x=
.
汽车停止运动前最后1s内的位移
.
故答案为:25,1.
点评:本题属于运动学中的刹车问题,知道汽车速度减为零后不再运动,是道易错题.
解答:解:汽车刹车到停止所需的时间t=
知汽车在6s内的位移等于5s内的位移,则x=
汽车停止运动前最后1s内的位移
故答案为:25,1.
点评:本题属于运动学中的刹车问题,知道汽车速度减为零后不再运动,是道易错题.
练习册系列答案
相关题目