ÌâÄ¿ÄÚÈÝ
ÔÚµØÖÊ¡¢µØÕ𡢿±Ì½¡¢ÆøÏóºÍµØÇòÎïÀíµÈÁìÓòµÄÑо¿ÖУ¬ÐèÒª¾«È·µÄÖØÁ¦¼ÓËÙ¶ÈgÖµ£¬gÖµ¿ÉÓÉʵÑ龫ȷ²â¶¨¡£½üÄêÀ´²âgÖµµÄÒ»ÖÖ·½·¨½Ð¡°¶Ô³Æ×ÔÓÉÏÂÂä·¨¡±£¬ËüÊǽ«²âg¹éÓڲⳤ¶ÈºÍʱ¼ä£¬ÒÔÎȶ¨µÄº¤Äʼ¤¹âµÄ²¨³¤Îª³¤¶È±ê×¼£¬Óùâѧ¸ÉÉæµÄ·½·¨²â¾àÀ룬ÒÔï¨Ô×ÓÖÓ»òÆäËûÊֶβâʱ¼ä£¬Äܽ«gÖµ²âµÃºÜ×¼£¬¾ßÌå×ö·¨ÊÇ£º½«Õæ¿Õ³¤Ö±¹ÜÑØÊúÖ±·½Ïò·ÅÖã¬×ÔÆäÖÐOµãÏòÉÏÅ×СÇòÓÖÂäÖÁÔ´¦µÄʱ¼äΪT2£¬ÔÚСÇòÔ˶¯¹ý³ÌÖо¹ý±ÈOµã¸ßHµÄPµã£¬Ð¡ÇòÀ뿪PµãÖÁÓֻص½PµãËùÓõÄʱ¼äΪT1£¬²âµÃT1 ¡¢T2ºÍH£¬¿ÉÇóµÃgµÈÓÚ £¨ £©
A£®
B£®
C£®
D£®
¡¾´ð°¸¡¿
A
¡¾½âÎö¡¿
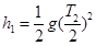
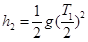
ÊÔÌâ·ÖÎö£ºÓÉ×ÔÓÉÂäÌåÔ˶¯¹æÂÉ¿ÉÖª£ºÐ¡ÇòÉÏÅ×¹ý³ÌÖУ¬ÉÏÅ׵ĸ߶ÈΪ
£¬´Ó×î¸ßµãÏÂÂäµ½PµãµÄ¸ß¶ÈΪ
£¬ÓÖÒòΪ
£¬ÁªÁ¢½âµÃ
£¬¹ÊÑ¡ÏîAÕýÈ·£®
¿¼µã£º±¾Ì⿼²é×ÔÓÉÂäÌåÔ˶¯¹æÂɵÄÓ¦Óã®
Á·Ï°²áϵÁдð°¸
Ïà¹ØÌâÄ¿
