题目内容

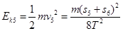
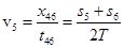
在“验证机械能守恒定律”的实验中,所用重物的质量为,当地的重力加速度为,打点计时器的打点时间间隔为T。某同学通过实验得到一条如图所示的纸带,纸带上的“0”点是物体刚要下落时打下的点,点“0”和“1”之间还有若干点,点“1”和点“6”之间各点为连续点,各点之间的距离如图所示。从“0”到“5”的过程中物体减小的重力势能的表达式为                             ,当打点“5”时物体的速度为              ,这时物体动能的表达式为                      

 

【答案】

【解析】

试题分析:根据重力势能的定义式得:

重力势能减小量

利用匀变速直线运动的推论

考点:验证机械能守恒定律;

点评:纸带问题的处理时力学实验中常见的问题.我们可以纸带法实验中,若纸带匀变速直线运动,测得纸带上的点间距,利用匀变速直线运动的推论,可计算出打出某点时纸带运动的瞬时速度和加速度.

 

练习册系列答案
相关题目
(2010?成都二模)(1)在验证“机械能守恒定率”的试验中:
①下面叙述正确的是
AB
AB
(填序号字母)
A.选用的重物的体积应当小一些
B.操作时应先通电再释放纸带
C.应该选用点迹清晰,且第一、二两点间的距离接近2mm的纸带进行分析
D.电磁打点计时器都应接在电压为20V的交流电源上
②实验室有下列器材可供选用:铁架台,电磁打点计时器(包括复写纸),纸带,停表,低压交流电源(带开关),导线,天平,刻度尺.
其中不必要的器材有
停表,天平
停表,天平
;缺少的器材是
重物
重物

(2)某同学想测某个电阻的电阻值Rx(约为130Ω),为此他找来下列器材:
A.电流E:电动势约为1.5V,内阻可忽略不计
B.电流表A1:量程为0~10mA,内电阻r1=10Ω
C.电流表A2:量程为0~20mA电阻r2约为5Ω
D.定值电阻R0:阻值R0=90Ω
E.滑动变阻器R1:最大阻值为20Ω
F.滑动变阻器R2:最大阻值为1000Ω
G.单刀单掷开关S,导线若干
①该同学的设计思路是:先将其中一只电流表改装成电压表,然后利用伏安法测出Rx.为了尽量准确的测出Rx的阻值,请你根据找到的器材和该同学的设计思路,在虚线框内画出实验电路图,并标出器材符号.
②你所选用的滑动变阻器是
R1
R1
(填器材序号字母或器材符号).
③若某次测量中电流表A1的示数为I1,电流表A2的示数为I2,则Rx的表达式为:Rx=
I1(R0+r1)
I2-I1
I1(R0+r1)
I2-I1

违法和不良信息举报电话:027-86699610 举报邮箱:58377363@163.com

精英家教网