题目内容
载流长直导线周围磁场的磁感应强度大小为B=kI/r,式中常量k>0,I为电流强度,r为距导线的距离.在水平长直导线MN正下方,矩形线圈abcd通以逆时针方向的恒定电流i,被两根轻质绝缘细线静止地悬挂,如图所示.开始时MN内不通电流,此时两细线内的张力均为T.当MN通以强度为I1的电流时,两细线内的张力均减小为T1,当MN内电流强度变为I2时,两细线内的张力均大于T.(1)分别指出强度为I1、I2的电流的方向
(2)求MN分别通以强度为I1、I2的电流时,线框受到的安培力F1与F2大小之比
(3)当MN内的电流强度为I3时两细线恰好断裂,在此瞬间线圈的加速度大小为a,试求I3.
【答案】分析:(1)通过线圈处于平衡,根据共点力平衡判断安培力的方向,从而确定磁场的方向,根据右手螺旋定则确定电流的方向.
(2)通过安培力的公式分别求出线框所受的安培力,从而得出安培力之比.
(3)根据瞬间线圈的加速度,根据牛顿第二定律结合第二问的结论求出电流I3的大小,注意加速度的方向可能向上,也可能向下.
解答:
解:(1)当MN通以强度为I1的电流时,两细线内的张力均减小为T1,知此时线框所受安培力合力方向竖直向上,则ab边所受的安培力的向上,cd边所受安培力方向向下,知磁场方向垂直纸面向里,则I1方向向左.
当MN内电流强度变为I2时,两细线内的张力均大于T.知此时线框所受安培力合力方向竖直向下,则ab边所受的安培力的向下,cd边所受安培力方向向上,知磁场方向垂直纸面向外,则I2方向向右.
(2)当MN中通以电流I时,线圈所受安培力大小为
F1=KI1iL(
-
)
F2=KI2iL(
-
)
F1:F2=I1:I2,
(3)2T=G
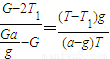
2T1+F1=G
若加速度向下:F3+G=
根据第(2)问结论:
I1:I3=F1:F3=
I3=
(方向向右)
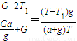
若加速度向上:F3-G=
根据第(2)问结论:
I1:I3=F1:F3=
,
I3=
(方向向左)
答:(1)I1方向向左,I2方向向右.
(2)线框受到的安培力F1与F2大小之比为I1:I2,
(3)电流I3的大小为I3=
(方向向右)或I3=
(方向向左).
点评:解决本题的关键掌握左手定则判断安培力的方向,右手螺旋定则判断电流周围磁场的方向.
(2)通过安培力的公式分别求出线框所受的安培力,从而得出安培力之比.
(3)根据瞬间线圈的加速度,根据牛顿第二定律结合第二问的结论求出电流I3的大小,注意加速度的方向可能向上,也可能向下.
解答:
当MN内电流强度变为I2时,两细线内的张力均大于T.知此时线框所受安培力合力方向竖直向下,则ab边所受的安培力的向下,cd边所受安培力方向向上,知磁场方向垂直纸面向外,则I2方向向右.
(2)当MN中通以电流I时,线圈所受安培力大小为
F1=KI1iL(
F2=KI2iL(
F1:F2=I1:I2,
(3)2T=G
2T1+F1=G
若加速度向下:F3+G=
根据第(2)问结论:
I1:I3=F1:F3=
I3=
若加速度向上:F3-G=
根据第(2)问结论:
I1:I3=F1:F3=
I3=
答:(1)I1方向向左,I2方向向右.
(2)线框受到的安培力F1与F2大小之比为I1:I2,
(3)电流I3的大小为I3=
点评:解决本题的关键掌握左手定则判断安培力的方向,右手螺旋定则判断电流周围磁场的方向.
练习册系列答案
相关题目
| A、MN中通过的电流方向水平向右 | ||
B、当MN内电流强度变为
| ||
C、当MN内的电流强度变为
| ||
| D、剪断细线后,矩形线圈下落的加速度越来越小 |