题目内容
“10m跳台跳水”是奥运会中我国的一个优势项目.某跳水运动员竖直向上起跳时她的重心离跳台台面的高度约为0.9m,当她下降到手触及水面时她的重心离水面距离也约为0.9m.若该运动员从跳离跳台到手触水经历的时间为2s,不计空气阻力,g取10m/s2.求(1)运动员从起跳至落水过程的位移?
(2)运动员起跳速度的大小?
【答案】分析:运动员重心从离跳台0.9m,落水时重心离水面距离也为0.9m,跳台高度为10m,所以运动员从起跳至落水过程的位移刚好为10.运动员起跳至落水过程可视为竖直上抛过程,已知运动员在此过程中的加速度、时间和位移,求运动员的初速度,根据运动学公式位移和时间关系直接求解即可.
解答:解:根据题意,运动员从起跳至落水过程中,以重心为研究对象,运动员的位移刚好为10m.
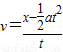
已知运动员跳水过程可视为竖直上抛运动,取向上为正方向,已知加速度为a=-g,位移x=-10m,时间t=2s,根据竖直上抛运动的位移时间关系
x=
可得运动员的初速度:
=
=5m/s.
答:(1)运动员从起跳至落水过程的位移为10m
(2)运动起跳的速度大小为5m/s.
点评:运动员从起跳至落水过程中可以运动员的重心为研究对象,事实也就是运动起跳至手触及水面时的位移,再根据运动员做竖直上抛运动,已知运动员的位移、加速度、和时间根据位移时间关系求出运动员的初速度即可.
解答:解:根据题意,运动员从起跳至落水过程中,以重心为研究对象,运动员的位移刚好为10m.
已知运动员跳水过程可视为竖直上抛运动,取向上为正方向,已知加速度为a=-g,位移x=-10m,时间t=2s,根据竖直上抛运动的位移时间关系
x=
答:(1)运动员从起跳至落水过程的位移为10m
(2)运动起跳的速度大小为5m/s.
点评:运动员从起跳至落水过程中可以运动员的重心为研究对象,事实也就是运动起跳至手触及水面时的位移,再根据运动员做竖直上抛运动,已知运动员的位移、加速度、和时间根据位移时间关系求出运动员的初速度即可.
练习册系列答案
相关题目