题目内容
一根阻值为R的均匀电阻丝,在下列哪些情况下阻值仍为R(设温度不变)( )
| A.当长度不变,横截面积增大一倍时 |
| B.当横截面积不变,长度增大一倍时 |
| C.当长度和横截面半径都缩小一半时 |
| D.当长度和横截面积都扩大一倍时 |
D
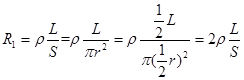
解析试题分析:根据公式
可得当长度不变,S增加一倍时,电阻减小为原来的
,A错误,当S不变,长
度增加一倍时,电阻增大为原来的
倍,B错误,当长度和横截面积半径都缩小一倍时
,C错误,当L和S都扩大一倍时
,即电阻保持不变,D正确,
考点:本题考查了电阻定律,
点评:知道导体的长度、横截面积以及材料决定电阻的大小,并且知道电阻的大小与其决定因素的具体关系是本题的关系.
练习册系列答案
相关题目
一根阻值为R的均匀电阻丝,长为L,横截面积为S,设温度不变,在下列哪些情况下其电阻值仍为R( )
| A.当L不变,S增大一倍时 |
| B.当S不变,L增大一倍时 |
| C.当L和S都缩小为原来的1/2时 |
| D.当L和横截面的半径都增大一倍时 |