ÌâÄ¿ÄÚÈÝ
ÈçͼËùʾ£¬A1DÊÇË®Æ½Ãæ£¬ACÊÇÇã½ÇΪ45°µÄÐ±Ãæ£¬Ð¡Îï¿é´ÓAµãÓɾ²Ö¹ÊÍ·ÅÑØACD»¬¶¯£¬µ½´ïDµãʱËٶȸպÃΪÁ㣮½«ÉÏÊö¹ý³Ì¸Ä×÷ƽÅ×Ô˶¯£¬Ð¡Ã÷×÷ÁËÒÔÏÂÈý´Î³¢ÊÔ£¬Îï¿é×îÖÕÒ²Äܵ½´ïDµã£ºµÚÒ»´Î´ÓAµãÒÔˮƽ³õËÙ¶Èv1ÏòÓÒÅ׳öÎï¿é£¬ÆäÂäµãÎªÐ±ÃæACµÄÖеãB£»µÚ¶þ´Î´ÓAµãÒÔˮƽ³õËÙ¶Èv2ÏòÓÒÅ׳öÎï¿é£¬ÆäÂäµãÎªÐ±ÃæµÄµ×¶ËC£»µÚÈý´Î´ÓAµãÒÔˮƽ³õËÙ¶Èv3ÏòÓÒÅ׳öÎï¿é£¬ÆäÂäµã¸ÕºÃÎªË®Æ½ÃæÉϵÄDµã£®ÒÑÖª¡ÏAA1C=90°£¬³¤¶ÈA1C=CD£¬Îï¿éÓëÐ±Ãæ¡¢Ë®Æ½ÃæÖ®¼äµÄ¶¯Ä¦²ÁÒòÊý¾ùÏàͬ£¬²»¼ÆÎï¿é¾CµãµÄ»úеÄÜËðʧ£®£¨1£©ÇóÎï¿éÓëÐ±Ãæ¼äµÄ¶¯Ä¦²ÁÒòÊý¦Ì£»
£¨2£©Çó³õËÙ¶ÈÖ®±Èv1£ºv2£ºv3£»
£¨3£©ÊÔÖ¤Ã÷Îï¿éÂäµ½B¡¢CÁ½µãǰ˲ʱËÙ¶ÈvB¡¢vC´óСÂú×㣺
¡¾´ð°¸¡¿·ÖÎö£º£¨1£©¶ÔÎï¿é´ÓA-DµÄÔ˶¯¹ý³ÌÔËÓö¯Äܶ¨Àí£¨Ôڴ˹ý³ÌÖÐÖ»ÓÐÖØÁ¦ºÍĦ²ÁÁ¦×ö¹¦£¬³õÄ©¶¯Äܶ¼ÎªÁ㣩¼´¿É½âÌ⣻
£¨2£©Èý´ÎÔ˶¯¶¼×öƽÅ×Ô˶¯£¬¸ù¾Ý¼¸ºÎ¹ØÏµ¿ÉÖª£¬Èý´ÎÔ˶¯µÄË®Æ½Î»ÒÆºÍÊúÖ±¸ß¶È¶¼ÊÇÒÑÖªµÄ£¬¸ù¾ÝƽÅ×Ô˶¯µÄ»ù±¾¹«Ê½¼´¿ÉÇó½â£»
£¨3£©Îï¿éÂäµ½B¡¢CÁ½µãǰ˲ʱËÙ¶ÈvB¡¢vC´óС¶¼¿ÉÒÔͨ¹ýv=
ÇóµÃ£¬¹ØÏµÒ²¾ÍµÃµ½ÁË£®
½â´ð£º½â£º£¨1£©Îï¿é´ÓA¡úC¡úD¹ý³ÌÖУ¬¸ù¾Ý¶¯Äܶ¨ÀíµÃ£º
mgxACsin45°-¦ÌmgxACcos45°-¦ÌmgxCD=0

£¨2£©A¡úB£ºx1=v1t1
A¡úC£ºx2=v2t2
A¡úD£º2x2=v3t3
Òò
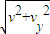
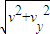
£¬y2=2y1£¬
ËùÒÔ
£¬
Òòt2=t3£¬ËùÒÔ
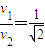
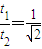
³õËÙ¶ÈÖ®±Èv1£ºv2£ºv3=
£¨3£©¸ù¾ÝƽÅ×Ô˶¯Ä©ËÙ¶Èv=
¿ÉÖª£º
£¬
=
=
ËùÒÔ
´ð£º£¨1£©Îï¿éÓëÐ±Ãæ¼äµÄ¶¯Ä¦²ÁÒòÊý¦ÌΪ0.5£»£¨2£©³õËÙ¶ÈÖ®±Èv1£ºv2£ºv3Ϊ
£» £¨3£©Îï¿éÂäµ½B¡¢CÁ½µãǰ˲ʱËÙ¶ÈvB¡¢vC·Ö±ðΪ
¡¢
£¬ËùÒÔ
µÃÖ¤£®
µãÆÀ£º±¾Ì⿼²éÁ˶¯Äܶ¨Àí¼°Æ½Å×Ô˶¯µÄÏà¹Ø¸ÅÄîºÍ¹«Ê½£¬½âÌâʱ¶ÔÊýѧ֪ʶµÄÒªÇó±È½Ï¸ß£¬ÄѶȽϴó£®
£¨2£©Èý´ÎÔ˶¯¶¼×öƽÅ×Ô˶¯£¬¸ù¾Ý¼¸ºÎ¹ØÏµ¿ÉÖª£¬Èý´ÎÔ˶¯µÄË®Æ½Î»ÒÆºÍÊúÖ±¸ß¶È¶¼ÊÇÒÑÖªµÄ£¬¸ù¾ÝƽÅ×Ô˶¯µÄ»ù±¾¹«Ê½¼´¿ÉÇó½â£»
£¨3£©Îï¿éÂäµ½B¡¢CÁ½µãǰ˲ʱËÙ¶ÈvB¡¢vC´óС¶¼¿ÉÒÔͨ¹ýv=
½â´ð£º½â£º£¨1£©Îï¿é´ÓA¡úC¡úD¹ý³ÌÖУ¬¸ù¾Ý¶¯Äܶ¨ÀíµÃ£º
mgxACsin45°-¦ÌmgxACcos45°-¦ÌmgxCD=0
£¨2£©A¡úB£ºx1=v1t1
A¡úC£ºx2=v2t2
A¡úD£º2x2=v3t3
Òò
ËùÒÔ
Òòt2=t3£¬ËùÒÔ
³õËÙ¶ÈÖ®±Èv1£ºv2£ºv3=
£¨3£©¸ù¾ÝƽÅ×Ô˶¯Ä©ËÙ¶Èv=
ËùÒÔ
´ð£º£¨1£©Îï¿éÓëÐ±Ãæ¼äµÄ¶¯Ä¦²ÁÒòÊý¦ÌΪ0.5£»£¨2£©³õËÙ¶ÈÖ®±Èv1£ºv2£ºv3Ϊ
µãÆÀ£º±¾Ì⿼²éÁ˶¯Äܶ¨Àí¼°Æ½Å×Ô˶¯µÄÏà¹Ø¸ÅÄîºÍ¹«Ê½£¬½âÌâʱ¶ÔÊýѧ֪ʶµÄÒªÇó±È½Ï¸ß£¬ÄѶȽϴó£®
Á·Ï°²áϵÁдð°¸
Ïà¹ØÌâÄ¿