题目内容

某学生做验证机械能守恒定律实验时,不慎将一条选择好的纸带的前面一部分损坏了,剩下的一段纸带上各相邻点间的距离已测出标在图上,单位是cm.已知打点计时器的工作频率为50Hz,重力加速,利用这段纸带能否验证机械能守恒定律?如能验证,说明验证方法.

答案:能
解析:

选重物从2点运动到5点这一过程来研究:重物运动到2点和5点的瞬时速度分别为

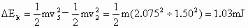
动能的增加为

而重力势能的减少量为

比较可知,它们的值近似相等,即说明重物在重力的作用下,重力势能的减少等于其动能的增加,机械能守恒,这就验证了机械能守恒定律.


练习册系列答案
相关题目

违法和不良信息举报电话:027-86699610 举报邮箱:58377363@163.com

精英家教网