题目内容
如图所示,滑块A、B的质量均为m,A套在固定竖直杆上,A、B通过转轴用长度为L的刚性轻杆连接,B放在水平面上并靠着竖直杆,A、B均静止.由于微小的扰动,B开始沿水平面向右运动.不计一切摩擦,滑块A、B视为质点.在A下滑的过程中,下列说法中正确的是( )A.A、B组成的系统机械能守恒
B.在A落地之前轻杆对B一直做正功
C.A运动到最低点时的速度的大小为
D.当A的机械能最小时,B对水平面的压力大小为mg
【答案】分析:A、B系统中只有动能和势能参与转化,系统机械能守恒;物体B一直向右,最后A落地瞬间,B速度减为零,故B向右先加速后减速.
解答:解:A、A、B系统中只有动能和势能参与转化,系统机械能守恒,故A正确;
B、A到最低点时,B物体到达最右端,速度为0.分析它们的受力与运动情况:B先受到竖直杆向右的推力,使其具有向右的加速度,导致B向右加速.当B的速度达到一定值时,杆又对B有向左的拉力作用,阻止B向右运动,使B减速运动,当A落地时,B速度减为0,且即不向左又不向右运动.由于B受到杆的力先向右,后向左,而运动方向始终向右,所以杆对B先做正功,后做负功.故B错误;
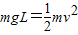
C、由于A、B物体系统机械能守恒,而到最低点时,B物体速度为零,故根据机械能守恒定律,有:
,解得
,故C正确;
D、由上述B选项分析可知,物体B先加速后减速,速度最大时加速度为零,此时杆的弹力为零,故B对水平面的压力大小为mg,由于AB系统机械能守恒,故此时A机械能最大,故D正确;
故选ACD.
点评:本题关键分析清楚物体B的运动情况,然后结合机械能守恒定律和利于运动关系分析.
解答:解:A、A、B系统中只有动能和势能参与转化,系统机械能守恒,故A正确;
B、A到最低点时,B物体到达最右端,速度为0.分析它们的受力与运动情况:B先受到竖直杆向右的推力,使其具有向右的加速度,导致B向右加速.当B的速度达到一定值时,杆又对B有向左的拉力作用,阻止B向右运动,使B减速运动,当A落地时,B速度减为0,且即不向左又不向右运动.由于B受到杆的力先向右,后向左,而运动方向始终向右,所以杆对B先做正功,后做负功.故B错误;
C、由于A、B物体系统机械能守恒,而到最低点时,B物体速度为零,故根据机械能守恒定律,有:
D、由上述B选项分析可知,物体B先加速后减速,速度最大时加速度为零,此时杆的弹力为零,故B对水平面的压力大小为mg,由于AB系统机械能守恒,故此时A机械能最大,故D正确;
故选ACD.
点评:本题关键分析清楚物体B的运动情况,然后结合机械能守恒定律和利于运动关系分析.
练习册系列答案
相关题目