题目内容
飞船以a=
【答案】分析:根据牛顿第二定律求出飞船所处位置的重力加速度,再根据万有引力等于重力得出飞船所处位置距离地面的高度.
解答:解:根据牛顿第二定律得,F-mg′=ma,解得g′=2.5m/s2.
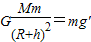
根据万有引力等于重力得,有:

联立两式得,R+h=2R
则h=R=6400km.
答:飞船所处位置距地面高度为6400km.
点评:把星球表面的物体运动和天体运动结合起来是考试中常见的问题.重力加速度g是天体运动研究和天体表面宏观物体运动研究联系的物理量.
解答:解:根据牛顿第二定律得,F-mg′=ma,解得g′=2.5m/s2.
根据万有引力等于重力得,有:
联立两式得,R+h=2R
则h=R=6400km.
答:飞船所处位置距地面高度为6400km.
点评:把星球表面的物体运动和天体运动结合起来是考试中常见的问题.重力加速度g是天体运动研究和天体表面宏观物体运动研究联系的物理量.
练习册系列答案
相关题目