题目内容

如图所示,一滑雪运动员质量m=60 kg,经过一段加速滑行后从A点以vA=10 m/s的初速度水平飞出,恰能落到B点.在B点速度方向(速度大小不变)发生改变后进入半径R=20 m的竖直圆弧轨道BO,并沿轨道下滑.已知在最低点O时运动员对轨道的压力为2400 N.A与B、B与O的高度差分别为H=20 m、h=8 m.不计空气阻力,取g=10 m/s2,求:

(1)AB间的水平距离.

(2)运动员在BO段运动时克服阻力做的功.

答案:
解析:

  (1)(共6分)

  由A到B,做平抛运动

  (2分)

  解得:(2分)

  AB间水平距离:(2分)

  (2)(共12分)

  根据牛顿第三定律,轨道对小孩的支持力为2400 N.(1分)

  设在最低点时速度为,由牛顿第二定律,有

  (3分)

  解得:(2分)

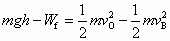
  设由A到O克服摩擦力做功为,由动能定理,有

  (4分)

  解得:(2分)

  或:(1分)

  故(1分)

  设由B到O克服摩擦力做功为,由动能定理,有

  (2分)

  解得:(2分)


练习册系列答案
相关题目

违法和不良信息举报电话:027-86699610 举报邮箱:58377363@163.com

精英家教网