题目内容

放在水平地面上的一物块,受到方向不变的水平推力F的作用,F的大小与时间t的关系和物块速度v与时间t的关系如图所示.重力加速度g取.由此两图线可以求得物块的质量m和物块与地面之间的动摩擦因数分别为

[  ]

A.m=0.5 kg,=0.4

B.m=1.5kg,

C.m=0.5 kg,=0.2

D.m=1 kg.=0.2

答案:A
解析:

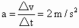
vt图象中看出在4s6s内物块做匀速运动.对应的F-t图象中.则物块所受的滑动摩擦力为   ①

2s4s内,由vt图象可得物块的加速度为,对应的F-t图象中,由牛顿第二定律得,即3N2Nm×2m0.5 kg   ②

由①②解得:μ=0.4


练习册系列答案
相关题目

违法和不良信息举报电话:027-86699610 举报邮箱:58377363@163.com

精英家教网