题目内容

用来转播电视信号的地球同步卫星在赤道上空运转.求:(1)此卫星离地面的高度h;(2)卫星的线速度v.(地球半径)

答案:略
解析:

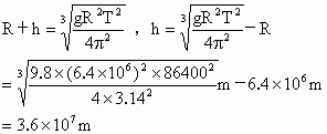
(1)卫星受地球的万有引力充当其绕地轴转动所需的向心力,则有

①,在地球表面处,卫星所受到的重力可认为等于地球对它的万有引力,②,由式①②得

(2)由于③;由式②③得

所有同步卫星高度都一样,线速度大小也一样,因为只有在那个高度,卫星和地球之间的引力才恰好提供了卫星做圆周运动所需的向心力.低于这个高度,卫星因速度加快,周期变短,不再与地球同步;高于这个高度,卫星将速度变慢,周期变长,也不再与地球同步.另外,由于卫星轨道平面必须通过地球球心,所以同步卫星只能在赤道平面上,综上所述,所有同步卫星只能在赤道平面上的同一高度,以相同的线速度与地球同步运转.


练习册系列答案
相关题目

(10分)2008年9月25日至28日,我国在酒泉卫星发射中心成功发射了“神州七号”载人航天宇宙飞船,。承担此次飞行任务的航天员分别是翟志刚、刘伯明和景海鹏,9月25日21时09分,火箭点火起飞,583秒后,飞船与火箭分离,准确入轨。已知“神州七号”总质量为m。在离地h高处绕地球做匀速圆周运动,地球质量为M,地球半径为R,地球表面重力加速为g,万有引力常量为G。

(1)如图所示,是A“神州七号”的火箭发射场,B为山区,C为城市,发射场正在进行发射,若长征二号F型火箭托着载人三名宇航员的“神舟七号”飞船向太空,已知火箭总长58.3m,发射塔的过程中,点火后,经7.0S火箭离开发射塔,设火箭的运动为匀加速运动,则在火箭离开发射塔的过程中(结果保留三位有效数字)火箭的加速度多大?

(2)质量为60kg的宇航员受到的飞船对他的作用力多大?(g=10m/s2

(3)为了转播发射实况,我国科技工作者在发射场建立了发射台用于发射广播与电视信号。已知传输无线电广播所用的电磁波波长为550m,而传输电视信号所用的电磁波波长为0.556m,为了不让山区挡住信号的传播,使城市居民能听到和收看实况,必须通过在山顶的转发站来转发电视信号,这是因为什么呢?

(4)飞船在绕地球飞行的第五圈进行了变轨,由原来的椭圆轨道变为距地面高度为h的圆形轨道。则飞船在轨道上正常运行的速度是多大?飞船在轨道上运行周期是多少?质量为m0的宇航员,他在飞船中的重力将变为多大?(用已知量字母表示)

违法和不良信息举报电话:027-86699610 举报邮箱:58377363@163.com

精英家教网