题目内容
物体的初速度为v0,以加速度a做匀加速直线运动,如果要它的速度增加到初速度的n倍,则物体的位移是( )
| A. | B. |
| C. | D. |
A
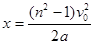
解析试题分析:物体的初速度为v0,加速度为a,末速度为v=nv0倍,设物体的位移是x,于题目不涉及时间,我们可以根据位移-速度关系式:
整理得:
,A正确
考点:本题是匀变速直线运动的基本公式的直接应用,
点评:属于比较简单的题目,解题时要大胆假设未知数合理选择公式,这样很多问题就容易解决.
练习册系列答案
相关题目
平抛物体的初速度为v0,当水平方向分位移与竖直方向分位移相等时( )
A、运动的时间t=
| ||||||
B、瞬时速率vt=
| ||||||
| C、水平分速度与竖直分速度大小相等 | ||||||
D、位移大小等于2
|