题目内容
作匀速圆周运动的人造卫星的轨道半径增大到原来的2倍后仍作匀速圆周运动,则( )A.根据公式v=ωr可知,卫星运动的线速度将增大到原来的2倍
B.根据公式
C.根据公式
D.根据公式
【答案】分析:人造卫星做圆周运动,万有引力提供向心力,当轨道半径变化时,万有引力变化,卫星的线速度、角速度、周期随着变化,所以,不能用向心力的表达式来讨论一些物理量的变化.注意理解控制变量法.
解答:解:A、当轨道半径变化时,万有引力变化,卫星的角速度ω=
随着变化,所以,不能用公式v=rω讨论卫星的线速度变化,故A错误.
B、当轨道半径变化时,万有引力变化,卫星的线速度v=
随着变化,所以,不能用公式F=m
讨论卫星的向心力变化,故B错误.
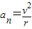
C、当轨道半径变化时,卫星的线速度也发生改变,所以,不能用公式
讨论卫星向心加速度变化,故C错误
D、人造卫星的轨道半径增大到原来的2倍,由公式
可知地球提供的向心力将减小到原来的
,故D正确
故选D.
点评:人造卫星做圆周运动,万有引力提供向心力,卫星的线速度、角速度、周期都与半径有关,讨论这些物理量时要找准公式,正确使用控制变量法.
解答:解:A、当轨道半径变化时,万有引力变化,卫星的角速度ω=
B、当轨道半径变化时,万有引力变化,卫星的线速度v=
C、当轨道半径变化时,卫星的线速度也发生改变,所以,不能用公式
D、人造卫星的轨道半径增大到原来的2倍,由公式
故选D.
点评:人造卫星做圆周运动,万有引力提供向心力,卫星的线速度、角速度、周期都与半径有关,讨论这些物理量时要找准公式,正确使用控制变量法.
练习册系列答案
相关题目