题目内容

(12分) 如图所示,半径为R内径很小的光滑半圆管竖直放置,和水平面相切与B处,两个质量均为m的小球a、b以不同的速度进入管内,a通过最高点A时对管壁恰好没有作用力,b通过最高点A时,对管壁下部的压力为0.75mg,求:

(1)a、b两球落地点间的距离

(2)a球在刚好进入管道B处时对管壁的压力大小

 

【答案】

(1)R(2)6mg

【解析】

试题分析:以a球为对象,设其到达最高点时的速度为va,根据向心力公式有:

     

所以:         

以b球为对象,设其到达最高点时的速度为vb,根据向心力公式有:

            

 所以: 

a、b两球脱离轨道的最高点后均做一平抛运动,所以a、b两球的水平位移分别为:

故a、b两球落地点间的距离 

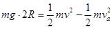
(2)对a球从B到A的过程中有

        

     

         

考点:向心力知识、平抛运动规律、动能定理

点评:本题将物理学中常见的模型等巧妙结合,通过题目条件分析最高点速度即速度为零。利用向心力知识、匀变速直线运动规律等基础知识求解。

 

练习册系列答案
相关题目

违法和不良信息举报电话:027-86699610 举报邮箱:58377363@163.com

精英家教网