ÌâÄ¿ÄÚÈÝ
ÈçͼËùʾ£¬Ë®Æ½·ÅÖÃµÄÆ½ÐнðÊô°åÖ®¼äµçѹ´óСΪU£¬¾àÀëΪd£¬Æä¼ä»¹Óд¹Ö±Ö½ÃæÏòÀïµÄÔÈÇ¿´Å³¡£®ÖÊÁ¿Îªm´øµçÁ¿Îª+qµÄ´øµçÁ£×Ó£¬ÒÔˮƽËÙ¶Èv´ÓƽÐнðÊô°åµÄÕýÖмäÉäÈë²¢×öÔÈËÙÖ±ÏßÔ˶¯£¬È»ºóÓÖ´¹Ö±ÉäÈ볡ǿ´óСΪE2£¬·½ÏòÊúÖ±ÏòÉϵÄÔÈÇ¿µç³¡£¬Æä±ß½ça¡¢b¼äµÄ¿íΪL£¨¸Ãµç³¡ÊúÖ±·½Ïò×ã¹»³¤£©£®µç³¡ºÍ´Å³¡¶¼ÓÐÀíÏë±ß½ç£¬ÇÒÁ£×ÓËùÊÜÖØÁ¦²»¼Æ£¬Çó£¨1£©¸Ã´øµçÁ£×ÓÔÚa¡¢b¼äÔ˶¯µÄ¼ÓËÙ¶È´óСa£»
£¨2£©ÔÈÇ¿´Å³¡¶Ô¸Ã´øµçÁ£×Ó×÷ÓÃÁ¦µÄ´óСf£»
£¨3£©¸Ã´øµçÁ£×Óµ½´ï±ß½çbʱµÄËÙ¶È´óСv£®
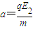
¡¾´ð°¸¡¿·ÖÎö£º£¨1£©´øµçÁ£×ÓÔÚa¡¢b¼äÔ˶¯Ê±£¬Ö»Êܵ糡Á¦×÷Ó㬸ù¾ÝÅ£¶ÙµÚ¶þ¶¨ÂÉÇó½â¼ÓËÙ¶È´óСa£»
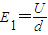
£¨2£©´øµçÁ£×ÓÔÚÆ½ÐнðÊô°åÖÐ×öÔÈËÙÖ±ÏßÔ˶¯£¬ÂåÂ××ÈÁ¦Óëµç³¡Á¦Æ½ºâ£¬ÓÉE=
ÇóµÃ³¡Ç¿£¬ÓÉÆ½ºâÌõ¼þÇó½âÔÈÇ¿´Å³¡¶Ô´øµçÁ£×Ó×÷ÓÃÁ¦µÄ´óСf£»
£¨3£©´øµçÁ£×ÓÔڵ糡E2ÖÐ×öÀàÆ½Å×Ô˶¯£¬ÔËÓÃÔ˶¯µÄ·Ö½â·¨Ñо¿£ºË®Æ½·½Ïò×öÔÈËÙÖ±ÏßÔ˶¯£¬ÊúÖ±·½Ïò×öÔȼÓËÙÔ˶¯£¬ÓÉÔ˶¯Ñ§¹«Ê½Çó½âÁ£×Óµ½´ï±ß½çbʱµÄËÙ¶È´óСv£®
½â´ð£º½â£º£¨1£©´øµçÁ£×ÓÔÚa¡¢b¼äÔ˶¯¹ý³ÌÖУ¬
ËùÊܵĵ糡Á¦F2=qE2
¸ù¾ÝÅ£¶ÙµÚ¶þ¶¨ÂÉ£º
ÁªÁ¢µÃ
£¨2£©´øµçÁ£×ÓÔÚÆ½ÐнðÊô°å¼ä×öÔÈËÙÖ±ÏßÔ˶¯£¬¸ÃÁ£×ÓÊÜÁ¦Èçͼ£º
³¡Ç¿£º
µç³¡Á¦£ºF1=qE1
¸ù¾ÝƽºâÌõ¼þ£ºf=F1
½âµÃ£º
£¨3£©Á£×ÓÔÚa¡¢b¼äÔ˶¯Ê±¼ä£º
Á£×Óµ½´ï±ß½çbʱµç³¡·½ÏòµÄËÙ¶È£ºvy=at
Á£×Óµ½´ï±ß½çbʱµÄËÙ¶È£º
¹Ê
´ð£º£¨1£©¸Ã´øµçÁ£×ÓÔÚa¡¢b¼äÔ˶¯µÄ¼ÓËÙ¶È´óСaÊÇ
£»
£¨2£©ÔÈÇ¿´Å³¡¶Ô¸Ã´øµçÁ£×Ó×÷ÓÃÁ¦µÄ´óСfÊÇ
£»
£¨3£©¸Ã´øµçÁ£×Óµ½´ï±ß½çbʱµÄËÙ¶È´óСvÊÇ
£®
µãÆÀ£º±¾ÌâÊÇËÙ¶ÈÑ¡ÔñÆ÷Óë´ÅƫתµÄ×ۺϣ¬·ÖÎöÊÜÁ¦Çé¿ö£¬¸ù¾ÝÅ£¶ÙµÚ¶þ¶¨ÂɺÍÔ˶¯Ñ§½áºÏ½øÐÐÇó½â£®
£¨2£©´øµçÁ£×ÓÔÚÆ½ÐнðÊô°åÖÐ×öÔÈËÙÖ±ÏßÔ˶¯£¬ÂåÂ××ÈÁ¦Óëµç³¡Á¦Æ½ºâ£¬ÓÉE=
£¨3£©´øµçÁ£×ÓÔڵ糡E2ÖÐ×öÀàÆ½Å×Ô˶¯£¬ÔËÓÃÔ˶¯µÄ·Ö½â·¨Ñо¿£ºË®Æ½·½Ïò×öÔÈËÙÖ±ÏßÔ˶¯£¬ÊúÖ±·½Ïò×öÔȼÓËÙÔ˶¯£¬ÓÉÔ˶¯Ñ§¹«Ê½Çó½âÁ£×Óµ½´ï±ß½çbʱµÄËÙ¶È´óСv£®
½â´ð£º½â£º£¨1£©´øµçÁ£×ÓÔÚa¡¢b¼äÔ˶¯¹ý³ÌÖУ¬
¸ù¾ÝÅ£¶ÙµÚ¶þ¶¨ÂÉ£º
ÁªÁ¢µÃ
£¨2£©´øµçÁ£×ÓÔÚÆ½ÐнðÊô°å¼ä×öÔÈËÙÖ±ÏßÔ˶¯£¬¸ÃÁ£×ÓÊÜÁ¦Èçͼ£º
³¡Ç¿£º
µç³¡Á¦£ºF1=qE1
¸ù¾ÝƽºâÌõ¼þ£ºf=F1
½âµÃ£º
£¨3£©Á£×ÓÔÚa¡¢b¼äÔ˶¯Ê±¼ä£º
Á£×Óµ½´ï±ß½çbʱµç³¡·½ÏòµÄËÙ¶È£ºvy=at
Á£×Óµ½´ï±ß½çbʱµÄËÙ¶È£º
¹Ê
´ð£º£¨1£©¸Ã´øµçÁ£×ÓÔÚa¡¢b¼äÔ˶¯µÄ¼ÓËÙ¶È´óСaÊÇ
£¨2£©ÔÈÇ¿´Å³¡¶Ô¸Ã´øµçÁ£×Ó×÷ÓÃÁ¦µÄ´óСfÊÇ
£¨3£©¸Ã´øµçÁ£×Óµ½´ï±ß½çbʱµÄËÙ¶È´óСvÊÇ
µãÆÀ£º±¾ÌâÊÇËÙ¶ÈÑ¡ÔñÆ÷Óë´ÅƫתµÄ×ۺϣ¬·ÖÎöÊÜÁ¦Çé¿ö£¬¸ù¾ÝÅ£¶ÙµÚ¶þ¶¨ÂɺÍÔ˶¯Ñ§½áºÏ½øÐÐÇó½â£®
Á·Ï°²áϵÁдð°¸
Ïà¹ØÌâÄ¿
| A¡¢Ð¡Ãº¿éÏÈ×÷ÔȼÓËÙÖ±ÏßÔ˶¯£¬ºó×÷ÔÈËÙÖ±ÏßÔ˶¯ | B¡¢Ð¡Ãº¿éÒ»Ö±×÷ÔȼÓËÙÖ±ÏßÔ˶¯ | C¡¢È«¹ý³ÌÖУ¬Ð¡Ãº¿éÏÈÊܵ½ÏòÓҵϬ¶¯Ä¦²ÁÁ¦£¬ºó²»ÊÜĦ²ÁÁ¦×÷Óà | D¡¢È«¹ý³ÌÖУ¬Ð¡Ãº¿éÏÈÊܵ½ÏòÓҵϬ¶¯Ä¦²ÁÁ¦£¬ºóÊܵ½ÏòÓҵľ²Ä¦²ÁÁ¦×÷Óà |