题目内容
如图所示,在斜面顶端的A点以速度v平抛一小球经t1时间落到斜面上B点处,若在A点将此小球以速度0.5v水平抛出,经t2落到斜面上的C点处,以下判断正确的是( )A.AB:AC=4:1
B.t1:t2=4:1
C.AB:AC=2:1
D.t1:t2=
【答案】分析:B、小球落在斜面上,竖直方向上的位移和水平方向上的位移的比值是一定值,即
,知运动的时间与初速度有关.从而求出时间比.
C、根据时间比,可得出竖直方向上的位移比,从而可知AB与AC的比值.
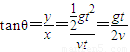
解答:解:B、平抛运动竖直方向上的位移和水平方向上的位移的比值
.
则t=
.知运动的时间与初速度成正比,所以t1:t2=2:1.故B、D错误.
C、竖直方向上下落的高度h=
.知竖直方向上的位移之比为4:1.斜面上的距离s=
,知AB:AC=4:1.故A正确,C错误.
故选A.
点评:解决本题的关键知道平抛运动在水平方向上做匀速直线运动,在竖直方向上做自由落体运动.以及知道小球落在斜面上,竖直方向上的位移和水平方向上的位移比值一定.
C、根据时间比,可得出竖直方向上的位移比,从而可知AB与AC的比值.
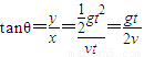
解答:解:B、平抛运动竖直方向上的位移和水平方向上的位移的比值
则t=
C、竖直方向上下落的高度h=
故选A.
点评:解决本题的关键知道平抛运动在水平方向上做匀速直线运动,在竖直方向上做自由落体运动.以及知道小球落在斜面上,竖直方向上的位移和水平方向上的位移比值一定.
练习册系列答案
相关题目
| A、v2=2v1 | B、v2<2v1 | C、t2=2t1 | D、t2<2t1 |