题目内容
如图所示,A、B两物体质量分别是
和
,用劲度系数为k的轻弹簧相连,A、B处于静止状态.现对A施竖直向上的力F提起A,使B对地面恰无压力.当撤去F,A由静止向下运动至最大速度时,重力做功为
[ ]
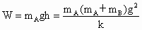
A.
B.
C.
D.
答案:C
解析:
解析:
|
初始状态弹簧拉伸 |
练习册系列答案
相关题目
| A、角速度ωA=ωB | B、线速度vA=vB | C、向心加速度aA>aB | D、向心力FA>FB |
| A、方向向左,大小不变 | B、方向向左,逐渐减小 | C、方向向右,大小不变 | D、方向向右,逐渐减小 |