题目内容
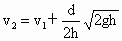
从高为h的平台上,分两次沿同一方向水一抛出一个小球.如图所示,第一次小球落地在a点,第二次小球落地在b点,ab相距为d.已知第一次抛球的初速度为
,求第二次抛球的初速度是多少?
![]()
答案:略
解析:
解析:
|
|
练习册系列答案
相关题目
题目内容
从高为h的平台上,分两次沿同一方向水一抛出一个小球.如图所示,第一次小球落地在a点,第二次小球落地在b点,ab相距为d.已知第一次抛球的初速度为
,求第二次抛球的初速度是多少?
![]()
|
|