ÌâÄ¿ÄÚÈÝ
Èçͼ£¬Ò»»¬¿éͨ¹ý³¤¶È²»¼ÆµÄ¶ÌÉþË©ÔÚС³µµÄ°å±ÚÉÏ£¬Ð¡³µÉϱíÃæ¹â»¬£®Ð¡³µÓɾ²Ö¹¿ªÊ¼ÏòÓÒÔȼÓËÙÔ˶¯£¬¾¹ý2s£¬Ï¸Éþ¶ÏÁÑ£®Ï¸Éþ¶ÏÁѺó£¬Ð¡³µµÄ¼ÓËٶȲ»±ä£¬ÓÖ¾¹ýÒ»¶Îʱ¼ä£¬»¬¿é´ÓС³µ×ó¶ËµôÏ£¬ÔÚÕâ¶Îʱ¼äÄÚ£¬ÒÑÖª»¬¿éÏà¶ÔС³µÇ°3sÄÚ»¬ÐÐÁË4.5m£¬ºó3sÄÚ»¬ÐÐÁË10.5m£®Çó£¨1£©Ð¡³µµ×°å³¤ÊǶàÉÙ£¿
£¨2£©´ÓС³µ¿ªÊ¼Ô˶¯µ½»¬¿éÀ뿪³µÎ²£¬»¬¿éÏà¶ÔÓÚµØÃæÒƶ¯µÄ¾àÀëÊǶàÉÙ£¿
¡¾´ð°¸¡¿·ÖÎö£º£¨1£©Éþ×Ó¶ÏÁÑǰ£¬Îï¿éºÍС³µÒ»Æð×öÔȼÓËÙÔ˶¯£¬Éþ×Ó¶ÏÁѺó£¬Ð¡³µÒÔ²»±äµÄ¼ÓËÙ¶È×öÔȼÓËÙÔ˶¯£¬Îï¿é×öÔÈËÙÖ±ÏßÔ˶¯£¬¸ù¾Ý»¬¿éÏà¶ÔС³µÇ°3sÄÚ»¬ÐÐÁË4.5m£¬Çó³öÉþ×Ó¶ÏÁÑʱµÄËÙ¶È£¬ÔÙ¸ù¾Ýºó3sÄÚ»¬ÐÐÁË10.5m£¬Çó³öºó3sÄڵijõËÙ¶È£¬´Ó¶øÈ·¶¨»¬¿éÔÚС³µÉÏÔ˶¯µÄ×Üʱ¼ä£¬·Ö±ðÇó³öС³µºÍľ¿éµÄÎ»ÒÆ£¬Á½ÕßÎ»ÒÆÖ®²îΪС³µµÄ°å³¤£®
£¨2£©»¬¿éÏà¶ÔÓÚµØÃæ×öÔÈËÙÖ±ÏßÔ˶¯£¬¸ù¾Ýs»¬=v1t×ÜÇó³öÏà¶ÔÓÚµØÃæÒƶ¯µÄ¾àÀ룮
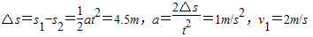
½â´ð£º½â£ºÉèС³µ¼ÓËÙ¶ÈΪa£®¶ÏÁÑʱ£¬³µºÍÎï¿éµÄËÙ¶ÈΪv1=at=2a£®¶ÏÁѺó£¬Ð¡³µµÄËÙ¶Èv=v1+at£¬Ð¡³µµÄÎ»ÒÆ
£¬»¬¿éµÄÎ»ÒÆs2=v1t
ǰ3s£¬
Éèºó3s³õËÙ¶ÈΪv1¡ä£¬ÔòС³µµÄÎ»ÒÆ
£¬»¬¿éµÄÎ»ÒÆs2¡ä=v1t
s1¡ä-s2¡ä=3v1¡ä+4.5-3v1=10.5m£¬½âµÃv1¡ä=4m/s
ÓÉ´Ë˵Ã÷ºó3sʵ¼ÊÉÏÊÇ´ÓÉþ¶Ïºó2s¿ªÊ¼µÄ£¬»¬¿éÓëС³µÏà¶ÔÔ˶¯µÄ×Üʱ¼äΪt×Ü=5s£®
£¨1£©Ð¡³µµ×°å×ܳ¤=
£¨2£©»¬¿éÔÚÕâ¶Îʱ¼äÄڵĶԵØÎ»ÒÆ£¬s»¬=v1t×Ü=10m
µãÆÀ£º½â¾ö±¾ÌâµÄ¹Ø¼üÖªµÀÉþ×Ó¶ÏÁѺ󣬣¬Ð¡³µÒÔ²»±äµÄ¼ÓËÙ¶È×öÔȼÓËÙÔ˶¯£¬Îï¿é×öÔÈËÙÖ±ÏßÔ˶¯£®ÔÙ¸ù¾ÝÔȱäËÙÖ±ÏßÔ˶¯µÄ¹«Ê½½øÐÐÇó½â£®
£¨2£©»¬¿éÏà¶ÔÓÚµØÃæ×öÔÈËÙÖ±ÏßÔ˶¯£¬¸ù¾Ýs»¬=v1t×ÜÇó³öÏà¶ÔÓÚµØÃæÒƶ¯µÄ¾àÀ룮
½â´ð£º½â£ºÉèС³µ¼ÓËÙ¶ÈΪa£®¶ÏÁÑʱ£¬³µºÍÎï¿éµÄËÙ¶ÈΪv1=at=2a£®¶ÏÁѺó£¬Ð¡³µµÄËÙ¶Èv=v1+at£¬Ð¡³µµÄÎ»ÒÆ
ǰ3s£¬
Éèºó3s³õËÙ¶ÈΪv1¡ä£¬ÔòС³µµÄÎ»ÒÆ
s1¡ä-s2¡ä=3v1¡ä+4.5-3v1=10.5m£¬½âµÃv1¡ä=4m/s
ÓÉ´Ë˵Ã÷ºó3sʵ¼ÊÉÏÊÇ´ÓÉþ¶Ïºó2s¿ªÊ¼µÄ£¬»¬¿éÓëС³µÏà¶ÔÔ˶¯µÄ×Üʱ¼äΪt×Ü=5s£®
£¨1£©Ð¡³µµ×°å×ܳ¤=
£¨2£©»¬¿éÔÚÕâ¶Îʱ¼äÄڵĶԵØÎ»ÒÆ£¬s»¬=v1t×Ü=10m
µãÆÀ£º½â¾ö±¾ÌâµÄ¹Ø¼üÖªµÀÉþ×Ó¶ÏÁѺ󣬣¬Ð¡³µÒÔ²»±äµÄ¼ÓËÙ¶È×öÔȼÓËÙÔ˶¯£¬Îï¿é×öÔÈËÙÖ±ÏßÔ˶¯£®ÔÙ¸ù¾ÝÔȱäËÙÖ±ÏßÔ˶¯µÄ¹«Ê½½øÐÐÇó½â£®
Á·Ï°²áϵÁдð°¸
Ïà¹ØÌâÄ¿