题目内容

地球和木星绕太阳运行的轨道都可以看作是圆形的.已知木星的轨道半径约为地球轨道半径的5.2倍,则木星与地球绕太阳运行的线速度之比约为( )
A.0.19
B.0.44
C.2.3
D.5.2
【答案】分析:根据万有引力提供向心力,分析线速度之比.
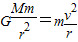
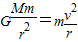
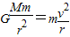
解答:解:由万有引力提供向心力,得v=,木星的轨道半径约为地球轨道半径的5.2倍,=0.44.故B正确,A、C、D错误.
故选B.
点评:解决本题的关键掌握万有引力提供向心力
练习册系列答案
相关题目

违法和不良信息举报电话:027-86699610 举报邮箱:58377363@163.com

精英家教网