题目内容
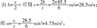
2007年10月24日18时05分在我国西昌卫星发射中心“嫦娥一号”卫星从高85.5 m的3号发射塔顺利起飞.假如火箭起飞过程是匀加速上升,经过6 s时间飞离发射塔,则火箭在这段时间内的加速度是________m/s2,飞离发射塔时的速度是________m/s.
答案:4.75,28.5
解析:
解析:
|
|
练习册系列答案
相关题目
题目内容
2007年10月24日18时05分在我国西昌卫星发射中心“嫦娥一号”卫星从高85.5 m的3号发射塔顺利起飞.假如火箭起飞过程是匀加速上升,经过6 s时间飞离发射塔,则火箭在这段时间内的加速度是________m/s2,飞离发射塔时的速度是________m/s.
|
|