ÌâÄ¿ÄÚÈÝ
Èçͼ¼×Ëùʾ£¬³¤¡¢¿í·Ö±ðΪL1¡¢L2µÄ¾ØÐνðÊôÏß¿òλÓÚÊúÖ±Æ½ÃæÄÚ£¬ÆäÔÑÊýΪn£¬×ܵç×èΪr£¬¿ÉÈÆÆäÊúÖ±ÖÐÐÄÖáO1O2ת¶¯£®Ïß¿òµÄÁ½¸öÄ©¶Ë·Ö±ðÓëÁ½¸ö±Ë´Ë¾øÔµµÄÍ»·C¡¢D£¨¼¯Á÷»·£©º¸½ÓÔÚÒ»Æð£¬²¢Í¨¹ýµçË¢ºÍ¶¨Öµµç×èRÏàÁ¬£®Ïß¿òËùÔÚ¿Õ¼äÓÐˮƽÏòÓÒ¾ùÔÈ·Ö²¼µÄ´Å³¡£¬´Å¸ÐӦǿ¶ÈBµÄ´óÐ¡ËæÊ±¼ätµÄ±ä»¯¹ØÏµÈçͼ13ÒÒËùʾ£¬ÆäÖÐB¡¢B1ºÍt1¾ùΪÒÑÖª£®ÔÚ0¡«t1µÄʱ¼äÄÚ£¬Ïß¿ò±£³Ö¾²Ö¹£¬ÇÒÏß¿òÆ½ÃæºÍ´Å³¡´¹Ö±£»t1ʱ¿ÌºóÏß¿òÔÚÍâÁ¦µÄÇý¶¯Ï¿ªÊ¼ÈÆÆäÊúÖ±ÖÐÐÄÖáÒÔ½ÇËٶȦØÔÈËÙת¶¯£®Ç󣺣¨1£©0¡«t1ʱ¼äÄÚͨ¹ýµç×èRµÄµçÁ÷´óС£»
£¨2£©Ïß¿òÔÈËÙת¶¯ºó£¬ÔÚת¶¯Ò»ÖܵĹý³ÌÖеçÁ÷ͨ¹ýµç×èR²úÉúµÄÈÈÁ¿£»
£¨3£©Ïß¿òÔÈËÙת¶¯ºó£¬´Óͼ¼×ËùʾλÖÃת¹ý90°µÄ¹ý³ÌÖУ¬Í¨¹ýµç×èRµÄµçºÉÁ¿£®
¡¾´ð°¸¡¿·ÖÎö£º£¨1£©ÏÈÇó³ö¸ÐÓ¦µç¶¯ÊÆ£¬ÔÙ¸ù¾Ý±ÕºÏµç·ŷķ¶¨ÂÉÇó½âµçÁ÷£»
£¨2£©Ïß¿ò²úÉú¸ÐÓ¦µç¶¯ÊƵÄ×î´óÖµ Em=
nB1 L1L2¦Ø£¬½ø¶øÇó³öÓÐЧֵ£¬¸ù¾Ý Q=I2Rt¼´¿ÉÇó½âÔÚת¶¯Ò»ÖܵĹý³ÌÖеçÁ÷ͨ¹ýµç×èR²úÉúµÄÈÈÁ¿£»
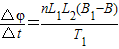
£¨3£©ÏÈÇó³öƽ¾ùµç¶¯ÊÆ£¬ÔÙÇó³öƽ¾ùµçÁ÷£¬¸ù¾Ýq=
¼´¿ÉÇó½â£®
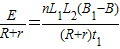
½â´ð£º½â£º£¨1£©0¡«t1ʱ¼äÄÚ£¬Ïß¿òÖеĸÐÓ¦µç¶¯ÊÆ E=n
¸ù¾Ý±ÕºÏµç·ŷķ¶¨ÂÉ¿ÉÖª£¬Í¨¹ýµç×èRµÄµçÁ÷
I=
£¨2£©Ïß¿ò²úÉú¸ÐÓ¦µç¶¯ÊƵÄ×î´óÖµ Em=
nB1 L1L2¦Ø
¸ÐÓ¦µç¶¯ÊƵÄÓÐЧֵE=nB1 L1L2¦Ø
ͨ¹ýµç×èRµÄµçÁ÷ µÄÓÐЧֵI=
Ïß¿òת¶¯Ò»ÖÜËùÐèµÄʱ¼ät=
´Ë¹ý³ÌÖУ¬µç×èR²úÉúµÄÈÈÁ¿ Q=I2Rt=¦ÐR¦Ø
£¨3£©Ïß¿ò´Óͼ¼×ËùʾλÖÃת¹ý90°µÄ¹ý³ÌÖУ¬
ƽ¾ù¸ÐÓ¦µç¶¯ÊÆ
ƽ¾ù¸ÐÓ¦µçÁ÷
ͨ¹ýµç×èRµÄµçºÉÁ¿ q=
´ð£º£¨1£©0¡«t1ʱ¼äÄÚͨ¹ýµç×èRµÄµçÁ÷´óСΪ
£»
£¨2£©Ïß¿òÔÈËÙת¶¯ºó£¬ÔÚת¶¯Ò»ÖܵĹý³ÌÖеçÁ÷ͨ¹ýµç×èR²úÉúµÄÈÈÁ¿Îª¦ÐR¦Ø£»
£¨3£©Ïß¿òÔÈËÙת¶¯ºó£¬´Óͼ¼×ËùʾλÖÃת¹ý90°µÄ¹ý³ÌÖУ¬Í¨¹ýµç×èRµÄµçºÉÁ¿Îª
£®
µãÆÀ£º±¾Ì⿼²é½»±äµçÁ÷×î´óÖµ¡¢ÓÐЧֵµÄÀí½âºÍÓ¦ÓõÄÄÜÁ¦£¬¶ÔÓÚ½»Á÷µç±íµÄ²âÁ¿Öµ¡¢¼ÆËã½»Á÷µç¹¦ÂÊ¡¢µç¹¦µÈ¶¼Óõ½ÓÐЧֵ£¬ÇóµçÁ¿Ê±£¬IÐèÒªÓÃÆ½¾ùÖµ£®
£¨2£©Ïß¿ò²úÉú¸ÐÓ¦µç¶¯ÊƵÄ×î´óÖµ Em=
£¨3£©ÏÈÇó³öƽ¾ùµç¶¯ÊÆ£¬ÔÙÇó³öƽ¾ùµçÁ÷£¬¸ù¾Ýq=
½â´ð£º½â£º£¨1£©0¡«t1ʱ¼äÄÚ£¬Ïß¿òÖеĸÐÓ¦µç¶¯ÊÆ E=n
¸ù¾Ý±ÕºÏµç·ŷķ¶¨ÂÉ¿ÉÖª£¬Í¨¹ýµç×èRµÄµçÁ÷
I=
£¨2£©Ïß¿ò²úÉú¸ÐÓ¦µç¶¯ÊƵÄ×î´óÖµ Em=
¸ÐÓ¦µç¶¯ÊƵÄÓÐЧֵE=nB1 L1L2¦Ø
ͨ¹ýµç×èRµÄµçÁ÷ µÄÓÐЧֵI=
Ïß¿òת¶¯Ò»ÖÜËùÐèµÄʱ¼ät=
´Ë¹ý³ÌÖУ¬µç×èR²úÉúµÄÈÈÁ¿ Q=I2Rt=¦ÐR¦Ø
£¨3£©Ïß¿ò´Óͼ¼×ËùʾλÖÃת¹ý90°µÄ¹ý³ÌÖУ¬
ƽ¾ù¸ÐÓ¦µç¶¯ÊÆ
ƽ¾ù¸ÐÓ¦µçÁ÷
ͨ¹ýµç×èRµÄµçºÉÁ¿ q=
´ð£º£¨1£©0¡«t1ʱ¼äÄÚͨ¹ýµç×èRµÄµçÁ÷´óСΪ
£¨2£©Ïß¿òÔÈËÙת¶¯ºó£¬ÔÚת¶¯Ò»ÖܵĹý³ÌÖеçÁ÷ͨ¹ýµç×èR²úÉúµÄÈÈÁ¿Îª¦ÐR¦Ø£»
£¨3£©Ïß¿òÔÈËÙת¶¯ºó£¬´Óͼ¼×ËùʾλÖÃת¹ý90°µÄ¹ý³ÌÖУ¬Í¨¹ýµç×èRµÄµçºÉÁ¿Îª
µãÆÀ£º±¾Ì⿼²é½»±äµçÁ÷×î´óÖµ¡¢ÓÐЧֵµÄÀí½âºÍÓ¦ÓõÄÄÜÁ¦£¬¶ÔÓÚ½»Á÷µç±íµÄ²âÁ¿Öµ¡¢¼ÆËã½»Á÷µç¹¦ÂÊ¡¢µç¹¦µÈ¶¼Óõ½ÓÐЧֵ£¬ÇóµçÁ¿Ê±£¬IÐèÒªÓÃÆ½¾ùÖµ£®
Á·Ï°²áϵÁдð°¸
Ïà¹ØÌâÄ¿