题目内容
一辆汽车沿直线运动,先以15m/s的速度驶完全程的四分之三,余下的路程以20m/s的速度行驶,则汽车从开始到驶完全程的平均速度大小为( )A.16m/s
B.16.3m/s
C.17.5m/s
D.18.8m/s
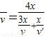
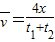
【答案】分析:设全程的位移大小为4x,根据t=
分别求出前后两段运动的时间表达式,再得到全程平均速度的表达式,求出v.
解答:解:设全程的位移大小为4x,由题得到
全程的平均速度
,又t1=
,t2=
得到
带入数据得:
=16m/s
故选A.
点评:本题考查对平均速度的理解和应用能力,常规题,关键抓住平均速度的定义列式.
解答:解:设全程的位移大小为4x,由题得到
全程的平均速度
得到
带入数据得:
故选A.
点评:本题考查对平均速度的理解和应用能力,常规题,关键抓住平均速度的定义列式.
练习册系列答案
相关题目
一辆汽车沿直线运动,先以15m/s的速度驶完全程的四分之三,剩下的路程以20m/s的速度行驶,则汽车从开始到驶完全程的平均速度大小为( )
| A.16m/s | B.16.3m/s | C.17.5m/s | D.18.8m/s |