题目内容

一小车以10m/s的初速度冲上一斜面,在斜面上做匀减速直线运动,加速度大小是,斜面足够长,小车在滑下时加速度大小和滑上时一样大.求小车在4s内的位移.

答案:0
解析:

法一:小车在斜面上的运动可分为两个过程.

上升过程:,到最高点时v=0.由,,上升过程经过的位移:

下滑过程:,时间.位移:.位移的方向沿斜面向下,如果取沿斜面向上为正方向,则.所以小车的位移,即小车又回到原处.

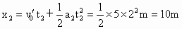
法二:小车在沿斜面上滑和下滑的过程中,加速度方向始终是沿斜面向下的且大小不变,是一个匀变速直线运动,对全过程:

t=4s:总位移

,说明小车又回到原处.

  此类能“折返”的运动,当加速度大小和方向都不变时,就可当成一个过程来处理.当位移x0时,说明物体位置在原出发点上方,x0时,物体位置在原出发点下方;x=0时,物体回到原出发点.如我们把一个物体竖直上抛时,物体运动情况就是这样的.


练习册系列答案
相关题目

违法和不良信息举报电话:027-86699610 举报邮箱:58377363@163.com

精英家教网