题目内容

有一口深井,石块A自井口自由落下m米时,石块B自离井口n米处开始自由落下,不计空气阻力,若两石块同时到达井底,则井深为多少米?

答案:略
解析:

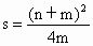
如图所示,石块A自井口自由落下m米时已经具有了一定的速度,这时石块B自离井口n米处开始自由落下,而两石块同时到达井底,这说明nm.设井深为sA自由落下m米所用时间为B运动到井底的时间为t,石块的运动可以作为自由落体运动,可以分别列出两石块的运动方程,求得s.因此有:

B做自由落体运动,

A自由落下m米的运动,   ②

A自由落下s米的运动  ③

解上面三个方程得到

本题涉及两个运动物体,它们的运动时间是相互关联的,AB多运动了;它们的位移也是相互关联的,A的位移为s,而B的位移为sn.建立这样的联系后,分别列位移方程即可求解.准确画出运动过程草图,对于建立这种时间联系、位移从而确定位移,因此画草图分析是十分必要的.


练习册系列答案
相关题目

违法和不良信息举报电话:027-86699610 举报邮箱:58377363@163.com

精英家教网