题目内容
一观察者发现,每隔一定时间有一滴水自8m高的屋檐落下,而且看到第五滴水刚要离开屋檐时,第一滴水正好落到地面.那么,这时第2滴水离地的高度是 .
【答案】分析:初速度为零的匀加速直线运动,在连续相等的时间内位移之比为:X1:X2:X3:X4=1:3:5:7,利用上述规律计算即可.
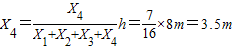
解答:解:初速度为零的匀加速直线运动,在连续相等的时间内位移之比为:X1:X2:X3:X4=1:3:5:7,故第2滴水离地的高度是
故答案为:3.5m.
点评:本题关键是结合初速度为零的匀变速直线运动的几个规律进行分析求解.
解答:解:初速度为零的匀加速直线运动,在连续相等的时间内位移之比为:X1:X2:X3:X4=1:3:5:7,故第2滴水离地的高度是
故答案为:3.5m.
点评:本题关键是结合初速度为零的匀变速直线运动的几个规律进行分析求解.
练习册系列答案
相关题目