ÌâÄ¿ÄÚÈÝ
2008Äê9ÔÂ25ÈÕ21ʱ10·Ö£¬ÔØ×ŵÔÖ¾¸Õ¡¢Áõ²®Ã÷¡¢¾°º£ÅôÈýλÓԱµÄÉñÖÛÆßºÅ·É´¬ÔÚÖйú¾ÆÈªÎÀÐÇ·¢ÉäÖÐÐÄ·¢Éä³É¹¦£¬9ÔÂ27ÈÕµÔÖ¾¸Õ³É¹¦ÊµÊ©ÁËÌ«¿ÕÐÐ×ߣ®ÒÑÖªÉñÖÛÆßºÅ·É´¬ÔÚÀëµØÇò±íÃæh¸ß´¦µÄ¹ìµÀÉÏ×öÖÜÆÚΪTµÄÔÈËÙÔ²ÖÜÔ˶¯£¬µØÇòµÄ°ë¾¶ÎªR£¬ÍòÓÐÒýÁ¦³£Á¿ÎªG£®Ôò£¨ £©A£®·É´¬ÔËÐеÄÏßËÙ¶È´óСΪ
B£®·É´¬ÔËÐеÄÏßËÙ¶È´óÓÚµÚÒ»ÓîÖæËÙ¶È
C£®·É´¬ÔËÐÐʱµÄÏòÐļÓËÙ¶È´óСΪ
D£®µØÇò±íÃæµÄÖØÁ¦¼ÓËÙ¶È´óСΪ
¡¾´ð°¸¡¿·ÖÎö£º¸ù¾ÝÏßËÙ¶Èv=
ºÍa=
Çó³öÏßËٶȺÍÏòÐļÓËٶȵĴóС£¬Í¨¹ýÏßËÙ¶ÈÓë¹ìµÀ°ë¾¶µÄ¹ØÏµ£¬±È½Ï³öÓëµÚÒ»ÓîÖæËٶȵĴóС£®¸ù¾ÝÍòÓÐÒýÁ¦µÈÓÚÖØÁ¦Çó³öµØÇò±íÃæµÄÖØÁ¦¼ÓËÙ¶È£®
½â´ð£º½â£ºA¡¢ÏßËÙ¶Èv=
=
£®¹ÊA´íÎó£®
B¡¢
£¬Öª¹ìµÀ°ë¾¶Ô½´ó£¬ÏßËÙ¶ÈԽС£¬µÚÒ»ÓîÖæËÙ¶ÈÊÇÌù½üµØÇò±íÃæ×öÔ²ÖÜÔ˶¯µÄËÙ¶È£¬¹ìµÀ°ë¾¶×îС£¬ËùÒÔ·É´¬ÔËÐеÄÏßËÙ¶ÈСÓÚµÚÒ»ÓîÖæËÙ¶È£®¹ÊB´íÎó£®
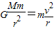
C¡¢ÏòÐļÓËÙ¶Èa=
=
£®¹ÊC´íÎó£®
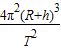
D¡¢¸ù¾Ý
£¬µÃg=
£¬½âµÃGM=
£¬ËùÒÔg=
£®¹ÊDÕýÈ·£®
¹ÊÑ¡D£®
µãÆÀ£º½â¾ö±¾ÌâµÄ¹Ø¼üÕÆÎÕÍòÓÐÒýÁ¦ÌṩÏòÐÄÁ¦ºÍÍòÓÐÒýÁ¦µÈÓÚÖØÁ¦ÕâÁ½¸öÀíÂÛ£¬ÖªµÀÏßËÙ¶È¡¢ÏòÐļÓËÙ¶ÈÓëÖÜÆÚµÄ¹ØÏµ£®
½â´ð£º½â£ºA¡¢ÏßËÙ¶Èv=
B¡¢
C¡¢ÏòÐļÓËÙ¶Èa=
D¡¢¸ù¾Ý
¹ÊÑ¡D£®
µãÆÀ£º½â¾ö±¾ÌâµÄ¹Ø¼üÕÆÎÕÍòÓÐÒýÁ¦ÌṩÏòÐÄÁ¦ºÍÍòÓÐÒýÁ¦µÈÓÚÖØÁ¦ÕâÁ½¸öÀíÂÛ£¬ÖªµÀÏßËÙ¶È¡¢ÏòÐļÓËÙ¶ÈÓëÖÜÆÚµÄ¹ØÏµ£®
Á·Ï°²áϵÁдð°¸
Ïà¹ØÌâÄ¿