题目内容
固定不动的正点电荷A,带电量为Q=1.0×10-6C,点电荷B从距A无穷远的电势为零处移到距A为2cm、电势为3 000V的P点,电场力所做负功为1.8×l03J.若把B电荷从P点由静止释放,释放瞬间加速度大小为9×109m/s2.求:B电荷能达到的最大速度.
【答案】分析:B电荷从P点由静止释放,电场力做功越多,则速度越大.因此B电荷运动到零电势位置时,速度达到最大.所以由
与F=ma可得出
的值,再由
,可求得最大速度.
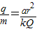
解答:解:B电荷从P点由静止释放,释放瞬间,
由牛顿第二定律与库仑定律可得:
=
则有:
B电荷在库仑力作用下,速度不断增大.
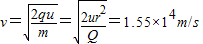
所以由
,可得:
答:B电荷能达到的最大速度为1.55×103m/s.
点评:考查库仑定律、牛顿第二定律及动能定理,电场力做功导致电势能减小,动能增加.
解答:解:B电荷从P点由静止释放,释放瞬间,
由牛顿第二定律与库仑定律可得:
则有:
B电荷在库仑力作用下,速度不断增大.
所以由
答:B电荷能达到的最大速度为1.55×103m/s.
点评:考查库仑定律、牛顿第二定律及动能定理,电场力做功导致电势能减小,动能增加.
练习册系列答案
相关题目