题目内容

一个物体从某一高度做自由落体运动,已知它第1 s内的位移为它最后1 s内位移的1/4,g取10 m/s2,则它开始下落时距地面的高度为(   )

A.5 m   B.11.25 m  C.20 m    D.31.25 m

 

【答案】

D

【解析】

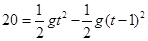
试题分析:第1s的位移,因此最后1s位移为20m,即,可得下落时间,因此下落的高度,D正确。

考点:自由落体运动

 

练习册系列答案
相关题目

违法和不良信息举报电话:027-86699610 举报邮箱:58377363@163.com

精英家教网