ÌâÄ¿ÄÚÈÝ
ÈçͼËùʾ£¬Æ½ÐнðÊôµ¼¹ìMNºÍPQÓëË®Æ½Ãæ³É¦È½Ç£¬µ¼¹ìÁ½¶Ë¸÷Óë×èÖµ¾ùΪRµÄ¹Ì¶¨µç×èR1ºÍR2ÏàÁ¬£¬ÔÈÇ¿´Å³¡´¹Ö±´©¹ýµ¼¹ìÆ½Ãæ£®ÖÊÁ¿Îªm¡¢µç×èΪR/2µÄµ¼Ìå°ôÒÔÒ»¶¨µÄ³õËÙ¶ÈÑØµ¼¹ìÏòÉÏ»¬¶¯£¬ÔÚ»¬¶¯¹ý³ÌÖе¼Ìå°ôÓë½ðÊôµ¼¹ìʼÖÕ´¹Ö±²¢½Ó´¥Á¼ºÃ£®ÒÑÖªt1ʱ¿Ìµ¼Ìå°ôÉÏ»¬µÄËÙ¶ÈΪv1£¬´Ëʱµ¼Ìå°ôËùÊܰ²ÅàÁ¦µÄ¹¦ÂÊΪP1£»t2ʱ¿Ìµ¼Ìå°ôÉÏ»¬µÄËÙ¶ÈΪv2£¬´Ëʱµç×èR2ÏûºÄµÄµç¹¦ÂÊΪP2£¬ºöÂÔÆ½ÐнðÊôµ¼¹ìMNºÍPQµÄµç×èÇÒ²»¼Æ¿ÕÆø×èÁ¦£®Ôò£¨ £©A£®t1ʱ¿Ìµç×èR1µÄ¹¦ÂÊΪP1/2
B£®t2ʱ¿Ìµ¼Ìå°ôµÄµç¹¦ÂÊΪ4P2
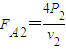
C£®t2ʱ¿Ìµ¼Ìå°ôÊܵ½µÄ°²ÅàÁ¦Îª4P2/v2
D£®t1¡«t2Õâ¶Îʱ¼äÄÚÕû¸ö»ØÂ·²úÉúµÄµçÈÈ
¡¾´ð°¸¡¿·ÖÎö£ºÏȸù¾Ý°²ÅඨÔòÕûÀí³ö°²ÅàÁ¦µÄ±í´ïʽ£¬ÔÙ¸ù¾Ýµç¹¦Âʱí´ïʽÕûÀí³ö´ËµÄ¹¦ÂÊP1µÄ±í´ïʽ£¬½â·½³Ì¼´¿ÉµÃµ½½á¹û£»½ðÊô°ôÉÏ»¬¹ý³ÌÖÐËٶȼõС£¬²úÉúµÄµç¶¯ÊƵçÁ÷¼õС£¬¼´²úÉúµÄ×ܵçÄܼõС£»
½â´ð£º½â£ºA£ºÒÑÖªt1ʱ¿Ìµ¼Ìå°ôÉÏ»¬µÄËÙ¶ÈΪv1£¬´Ëʱµç×èR1ÏûºÄµÄµç¹¦ÂÊΪP1£»
´Ëʱµç¶¯ÊÆ£ºE1=BLv1
Á÷¹ý½ðÊô°ôµÄµçÁ÷£º
½ðÊô°ôÊܵ½µÄ°²ÅàÁ¦£º
¢Ù
´Ëʱµç×èR1ÏûºÄµÄµç¹¦ÂÊΪPR1£º
¢Ú
µ¼Ìå°ôÉϰ²ÅàÁ¦µÄµç¹¦ÂÊ£º
ËùÒÔ£º
£¬¹ÊA´íÎó£®
B£ºt2ʱ¿Ìµ¼Ìå°ôÉÏ»¬µÄËÙ¶ÈΪv2£¬´Ëʱµç×èR2ÏûºÄµÄµç¹¦ÂÊΪP2£¬
ÓÉÓÚµç×èR1ÓëR2×èÖµÏàͬ£¬ËùÒÔÏûºÄ¹¦ÂÊÏàͬ£¬Ò²ÎªP2£»
ÓÉÓÚP2=I2R£¬¶ø´Ëʱͨ¹ý½ðÊô°ôµÄµçÁ÷Ϊ2I£¬½ðÊô°ôµÄµç×èΪ
£¬ËùÒÔ½ðÊô°ôÏûºÄµÄµç¹¦ÂÊΪ£ºP=£¨2I£©2
=2P2£¬¹ÊB´íÎó£»
C£ºÔòÔÚt2ʱ¿ÌÏûºÄµÄ×ܹ¦ÂÊΪ4P2£¬ÓÉÓÚµ¼Ìå°ô¿Ë·þ°²ÅàÁ¦×ö¹¦¾ÍµÈÓÚ²úÉúµÄµçÄÜ£¬Ò²µÈÓÚÏûºÄµÄ×ܵçÄÜ£¬¹Êt2ʱ¿Ìµ¼Ìå°ô¿Ë·þ°²ÅàÁ¦×ö¹¦µÄ¹¦ÂÊΪ4P2£¬
¹ÊCÕýÈ·£®
D£ºÔÚt1¡«t2Õâ¶Îʱ¼äÄÚµ¼Ìå°ôÉÏÉý¹ý³ÌËٶȼõС£¬¼õСµÄ¶¯ÄÜת»¯Îª½ðÊô°ô²úÉúµÄµçÄܺͽðÊô°ôµÄÖØÁ¦ÊÆÄÜ£¬ËùÒÔÕâ¶Îʱ¼äÄÚÕû¸ö»ØÂ·²úÉúµÄµçÈÈСÓÚµ¼Ìå°ô¶¯ÄܵļõС£®¹ÊD´íÎó£®
¹ÊÑ¡£ºC
µãÆÀ£º×¢Òâµ¼ÌåÇиî´Å¸ÐÏßʱ²úÉú¸ÐÓ¦µç¶¯ÊÆÄDz¿·Öµ¼ÌåÏ൱ÓÚµçÔ´£®ÔÚt1¡«t2Õâ¶Îʱ¼äÄÚµ¼Ìå°ôÉÏÉý¹ý³Ì¼õСµÄ¶¯ÄÜת»¯Îª½ðÊô°ô²úÉúµÄµçÄܺͽðÊô°ôµÄÖØÁ¦ÊÆÄÜÊÇÌâÄ¿µÄ¹Ø¼ü£®ÌâÄ¿Éæ¼°µÄ¹«Ê½½Ï¶à£¬ÄÜÁ¿¹ØÏµ¸´ÔÓ£¬ÄѶȱȽϴó£®
½â´ð£º½â£ºA£ºÒÑÖªt1ʱ¿Ìµ¼Ìå°ôÉÏ»¬µÄËÙ¶ÈΪv1£¬´Ëʱµç×èR1ÏûºÄµÄµç¹¦ÂÊΪP1£»
´Ëʱµç¶¯ÊÆ£ºE1=BLv1
Á÷¹ý½ðÊô°ôµÄµçÁ÷£º
½ðÊô°ôÊܵ½µÄ°²ÅàÁ¦£º
´Ëʱµç×èR1ÏûºÄµÄµç¹¦ÂÊΪPR1£º
µ¼Ìå°ôÉϰ²ÅàÁ¦µÄµç¹¦ÂÊ£º
ËùÒÔ£º
B£ºt2ʱ¿Ìµ¼Ìå°ôÉÏ»¬µÄËÙ¶ÈΪv2£¬´Ëʱµç×èR2ÏûºÄµÄµç¹¦ÂÊΪP2£¬
ÓÉÓÚµç×èR1ÓëR2×èÖµÏàͬ£¬ËùÒÔÏûºÄ¹¦ÂÊÏàͬ£¬Ò²ÎªP2£»
ÓÉÓÚP2=I2R£¬¶ø´Ëʱͨ¹ý½ðÊô°ôµÄµçÁ÷Ϊ2I£¬½ðÊô°ôµÄµç×èΪ
C£ºÔòÔÚt2ʱ¿ÌÏûºÄµÄ×ܹ¦ÂÊΪ4P2£¬ÓÉÓÚµ¼Ìå°ô¿Ë·þ°²ÅàÁ¦×ö¹¦¾ÍµÈÓÚ²úÉúµÄµçÄÜ£¬Ò²µÈÓÚÏûºÄµÄ×ܵçÄÜ£¬¹Êt2ʱ¿Ìµ¼Ìå°ô¿Ë·þ°²ÅàÁ¦×ö¹¦µÄ¹¦ÂÊΪ4P2£¬
D£ºÔÚt1¡«t2Õâ¶Îʱ¼äÄÚµ¼Ìå°ôÉÏÉý¹ý³ÌËٶȼõС£¬¼õСµÄ¶¯ÄÜת»¯Îª½ðÊô°ô²úÉúµÄµçÄܺͽðÊô°ôµÄÖØÁ¦ÊÆÄÜ£¬ËùÒÔÕâ¶Îʱ¼äÄÚÕû¸ö»ØÂ·²úÉúµÄµçÈÈСÓÚµ¼Ìå°ô¶¯ÄܵļõС£®¹ÊD´íÎó£®
¹ÊÑ¡£ºC
µãÆÀ£º×¢Òâµ¼ÌåÇиî´Å¸ÐÏßʱ²úÉú¸ÐÓ¦µç¶¯ÊÆÄDz¿·Öµ¼ÌåÏ൱ÓÚµçÔ´£®ÔÚt1¡«t2Õâ¶Îʱ¼äÄÚµ¼Ìå°ôÉÏÉý¹ý³Ì¼õСµÄ¶¯ÄÜת»¯Îª½ðÊô°ô²úÉúµÄµçÄܺͽðÊô°ôµÄÖØÁ¦ÊÆÄÜÊÇÌâÄ¿µÄ¹Ø¼ü£®ÌâÄ¿Éæ¼°µÄ¹«Ê½½Ï¶à£¬ÄÜÁ¿¹ØÏµ¸´ÔÓ£¬ÄѶȱȽϴó£®
Á·Ï°²áϵÁдð°¸
Ïà¹ØÌâÄ¿