ÌâÄ¿ÄÚÈÝ

Óë´òµã¼ÆÊ±Æ÷Ò»Ñù£¬¹âµç¼ÆÊ±Æ÷Ò²ÊÇÒ»ÖÖÑо¿ÎïÌåÔ˶¯Çé¿öµÄ³£¼û¼ÆÊ±ÒÇÆ÷£¬Æä½á¹¹Èçͼ¼×Ëùʾ£¬a¡¢b·Ö±ðÊǹâµçÃŵļ¤¹â·¢ÉäºÍ½ÓÊÕ×°Ö㮵±ÓÐÎïÌå´Óa¡¢b¼äͨ¹ýʱ£¬¹âµç¼ÆÊ±Æ÷¾Í¿ÉÒÔÏÔʾÎïÌåµÄµ²¹âʱ¼ä£®ÏÖÀûÓÃͼÒÒËùʾװÖÃÉè¼ÆÒ»¸ö¡°Ì½¾¿ÎïÌåÔ˶¯µÄ¼ÓËÙ¶ÈÓëºÏÍâÁ¦¡¢ÖÊÁ¿¹ØÏµ¡±µÄʵÑ飬ͼÖÐNQÊÇˮƽ×ÀÃæ¡¢PQÊÇÒ»¶Ë´øÓл¬Âֵij¤Ä¾°å£¬l¡¢2Êǹ̶¨ÔÚľ°åÉϵÄÁ½¸ö¹âµçÃÅ£¨ÓëÖ®Á¬½ÓµÄÁ½¹âµç¼ÆÊ±Æ÷ûÓл­³ö£©£®Ð¡³µÉϹ̶¨×ÅÓÃÓÚµ²¹âµÄխƬK£¬ÈÃС³µ´Óľ°åµÄ¶¥¶Ë»¬Ï£¬¹âµçß÷×ÔÁ¬½ÓµÄ¼ÆÊ±Æ÷ÏÔʾխƬKµÄµ²¹âʱ¼ä·Ö±ðΪt1ºÍt2£®

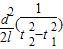
£¨1£©ÓÃÓα꿨³ß²âÁ¿Õ­Æ¬KµÄ¿í¶ÈΪd£¨ÒÑÖªl»d£©£¬¹âµçÃÅ1£¬2¸÷×ÔÁ¬½ÓµÄ¼ÆÊ±Æ÷ÏÔʾµÄµ²¹âʱ¼ä·Ö±ðΪt1¡¢t2£¬ÔòխƬKͨ¹ý¹âµçÃÅ1µÄËٶȱí´ïʽv1=   
£¨2£©ÓÃÃ׳߲âÁ¿Á½¹âµçÃżä¾àΪl£¬ÔòС³µµÄ¼ÓËٶȱí´ïʽa=   
£¨3£©¸ÃʵÑéÖУ¬ÎªÁ˰ÑɰºÍɰͰÀ­³µµÄÁ¦µ±×÷С³µÊܵĺÏÍâÁ¦£¬¾Í±ØÐëÆ½ºâС³µÊܵ½µÄĦ²ÁÁ¦£¬ÕýÈ·µÄ×ö·¨ÊÇ£ºÔÚ    µÄÇé¿öÏ£¬µ÷½Ú³¤Ä¾°åµÄÇã½Ç£¬ÇáÍÆÐ¡³µÈÃÆäÏ»¬£¬Ö±ÖÁ    £»
£¨4£©ÊµÑéÖУ¬ÓÐλͬѧͨ¹ý²âÁ¿£¬°ÑɰºÍɰͰµÄÖØÁ¦µ±×÷С³µµÄºÏÍâÁ¦F£¬×÷³öa-FͼÏߣ¬Èçͼ±ûÖеÄʵÏßËùʾ£®ÊÔ·ÖÎö£ºÍ¼Ïß²»Í¨¹ý×ø±êÔ­µãOµÄÔ­ÒòÊÇ    £»ÇúÏßÉϲ¿ÍäÇúµÄÔ­ÒòÊÇ    £®
¡¾´ð°¸¡¿·ÖÎö£º£¨1£©ÀûÓùâµçÃŲâËÙ¶ÈʱÊÇÀûÓÃÁËÆ½¾ùËÙ¶È´úÌæË²Ê±ËٶȵÄÔ­Àí£»
£¨2£©¸ù¾ÝÔ˶¯Ñ§¹«Ê½£¬¿ÉÒÔд³ö¼ÓËٶȵıí´ïʽ£»
£¨3£©¸ÃʵÑéÖÐÊÇͨ¹ý°Ñľ°åÒ»¶Ȩ̈¸ß£¬ÈÃС³µµÄÖØÁ¦ÑØÐ±ÃæµÄ·ÖÁ¦ÓëĦ²ÁÁ¦Æ½ºâµÄ·½·¨½øÐеģ»
£¨4£©¸ù¾ÝÅ£¶ÙµÚ¶þ¶¨ÂɽáºÏͼÏóÌØµã¼´¿ÉÕýÈ·½â´ð£®
½â´ð£º½â£º£¨1£©ÓÉÓÚխƬKµÄ¿í¶ÈΪdºÜС£¬Òò´Ë¿ÉÒÔÀûÓÃÆäÆ½¾ùËÙ¶È´úÌæÎïÌåµÄ˲ʱËÙ¶È£¬¹ÊխƬKͨ¹ý¹âµçÃÅ1µÄËٶȱí´ïʽΪ£º£®
¹Ê´ð°¸Îª£º£®
£¨2£©Õ­Æ¬Kͨ¹ý¹âµçÃÅ2µÄËٶȱí´ïʽ£º£®
¸ù¾ÝÔ˶¯Ñ§¹«Ê½£ºÓУº
=£®
¹Ê´ð°¸Îª£º£®
£¨3£©ÔÚ¸ÃʵÑéÖУ¬Æ½ºâĦ²ÁÁ¦µÄ˼·ÊÇ£ºÌ§¸ßľ°åÒ»¶Ë£¬ÈÃС³µµÄÖØÁ¦ÑØÐ±Ãæ·ÖÁ¦ÓëĦ²ÁÁ¦Æ½ºâ£¬µ±¹Û²ìµ½Ð¡³µÔÈËÙÔ˶¯Ê±£¬ËµÃ÷Ħ²ÁÁ¦ÒѾ­±»Æ½ºâ£¬¹Ê¾ßÌå²Ù×÷ÊÇ£ºÏȲ»¹ÒɰºÍɰͰ£¬µ÷½Ú³¤Ä¾°åµÄÇã½Ç£¬ÇáÍÆÐ¡³µÈÃÆäÏ»¬£¬Ö±ÖÁС³µÄÜÔÈËÙÏ»¬¼´¿É£®
¹Ê´ð°¸Îª£º²»¹ÒɰºÍɰͰ£¬ÓëÁ½¸ö¹âµçÃÅÏàÁ¬µÄ¼ÆÊ±Æ÷¶ÁÊýÏàµÈΪֹ£®
£¨4£©¸ù¾Ý±ûͼ¿ÉÖª£¬µ±Ã»ÓйÒɰºÍɰͰʱ£¬Ð¡³µ²úÉúÁ˼ÓËÙ¶È£¬Òò´Ë˵Ã÷ƽºâĦ²ÁÁ¦Ê±Ä¾°åÇã½ÇÌ«´ó£»Ëæ×ÅFµÄÔö´ó£¬¼´É°ºÍɰͰÖÊÁ¿µÄÔö´ó£¬²»ÔÚÂú×ãɰºÍɰͰԶСÓÚС³µµÄÖÊÁ¿£¬Òò´ËÇúÏßÉϲ¿³öÏÖÍäÇúÏÖÏó£®
¹Ê´ð°¸Îª£ºÆ½ºâĦ²ÁÁ¦Ê±Ä¾°åÇã½ÇÌ«´ó£¬Ã»ÓÐÂú×ãС³µÖÊÁ¿Ô¶´óÓÚɰºÍɰͰµÄÖÊÁ¿£®
µãÆÀ£º¶ÔÓÚʵÑéÎÊÌâÒ»¶¨ÒªÃ÷ȷʵÑéÔ­Àí£¬²¢ÇÒÇ××Ô¶¯ÊÖʵÑ飬ÊìÁ·Ó¦ÓÃËùѧ»ù±¾¹æÂɽâ¾öʵÑéÎÊÌ⣮
Á·Ï°²áϵÁдð°¸
Ïà¹ØÌâÄ¿
£¨2011?½ð»ª¶þÄ££©Óë´òµã¼ÆÊ±Æ÷Ò»Ñù£¬¹âµç¼ÆÊ±Æ÷Ò²ÊÇÒ»ÖÖÑо¿ÎïÌåÔ˶¯Çé¿öµÄ³£ÓüÆÊ±ÒÇÆ÷£¬Æä½á¹¹Èç×óͼËùʾ£¬a¡¢b·Ö±ðÊǹâµçÃŵļ¤¹â·¢ÉäºÍ½ÓÊÕ×°Ö㬵±ÓÐÎïÌå´Óa¡¢b¼äͨ¹ýʱ£¬¹âµç¼ÆÊ±Æ÷¾Í¿ÉÒÔÏÔʾÎïÌåͨ¹ýʱµÄµ²¹âʱ¼ä£®
ΪÁ˲ⶨÁ½ÕÅÖ½Ö®¼äµÄ¶¯Ä¦²ÁÒòÊý£¬Ä³Í¬Ñ§ÀûÓùâµç¼ÆÊ±Æ÷Éè¼ÆÁËÒ»¸öʵÑ飺ÈçÉÏÓÒͼËùʾ£¬ÔÚСÌú¿éAºÍľ°åBÉÏÌùÉÏ´ý²âµÄÖ½£¬Ä¾°åBˮƽ¹Ì¶¨£¬Ç¦´¸Í¨¹ýϸÏߺÍСÌú¿éÏàÁ¬£®lºÍ2Êǹ̶¨ÔÚľ°åÉÏÊʵ±Î»ÖõÄÁ½¸ö¹âµçÃÅ£¬ÓëÖ®Á¬½ÓµÄÁ½¸ö¹âµç¼ÆÊ±Æ÷ûÓл­³ö£®ÊÍ·ÅǦ´¸£¬ÈÃСÌú¿éÔÚľ°åÉϼÓËÙÔ˶¯£¬¹âµçÃÅ1¡¢2¸÷×ÔÁ¬½ÓµÄ¼ÆÊ±Æ÷ÏÔʾµÄµ²¹âʱ¼ä·Ö±ðΪ2.0¡Á10-2sºÍ0.6¡Á10-2s£®ÓÃÓα꿨³ß²âÁ¿Ð¡Ìú¿éµÄ¿í¶ÈdÈçÏÂͼËùʾ£®
£¨1£©¶Á³öСÌú¿éµÄ¿í¶Èd=
1.45
1.45
cm£®
£¨2£©Ìú¿éͨ¹ý¹âµçÃÅlµÄËÙ¶Èv1=
0.725
0.725
m/s£¬Ìú¿éͨ¹ý¹âµçÃÅ2µÄËÙ¶Èv2=
2.42
2.42
m/s£®£¨¼ÆËã½á¹û±£Áô3λÓÐЧÊý×Ö£©
£¨3£©ÒÑÖªµ±µØÖØÁ¦¼ÓËÙ¶ÈΪg£¬ÎªÍê³É²âÁ¿£¬³ýÁ˲âÁ¿v1¡¢v2ºÍÁ½¸ö¹âµçÃÅÖ®¼äµÄ¾àÀëLÍ⣬»¹Ðè²âÁ¿µÄÎïÀíÁ¿ÓУº
Ìú¿éµÄÖÊÁ¿m
Ìú¿éµÄÖÊÁ¿m
¡¢
Ǧ´¸µÄÖÊÁ¿M
Ǧ´¸µÄÖÊÁ¿M
£®£¨ÓÃÎÄ×Ö˵Ã÷²¢ÓÃ×Öĸ±íʾ£©
£¨4£©Óã¨3£©Öи÷Á¿Çó½â¶¯Ä¦²ÁÒòÊýµÄ±í´ïʽ£º¦Ì=
2MgL-(M+m)(
v
2
2
-
v
2
1
)
2mgL
2MgL-(M+m)(
v
2
2
-
v
2
1
)
2mgL
£¨ÓÃ×Öĸ±íʾ£©
£¨1£©Ê¹ÓÃǧ·Ö³ß²âÁ¿½ðÊôË¿µÄÖ±¾¶£¬Ê¾ÊýÈçͼ1Ëùʾ£¬½ðÊôË¿µÄÖ±¾¶Îª
0.260
0.260
mm£»ÓÃÓαêΪ50·Ö¶ÈµÄ¿¨³ß£¨²âÁ¿Öµ¿É׼ȷµ½0.02mm£©²â¶¨Ä³Ô²ÖùµÄÖ±¾¶Ê±£¬¿¨³ßÉϵÄʾÊýÈçͼ£®¿É¶Á³öÔ²ÖùµÄÖ±¾¶ÊÇ
52.12mm
52.12mm
£®
£¨2£©Óë´òµã¼ÆÊ±Æ÷Ò»Ñù£¬¹âµç¼ÆÊ±Æ÷Ò²ÊÇÒ»ÖÖÑо¿ÎïÌåÔ˶¯Çé¿öµÄ³£ÓüÆÊ±ÒÇÆ÷£¬Æä½á¹¹Èçͼ2Ëùʾ£¬a¡¢b ·Ö±ðÊǹâµçÃŵļ¤¹â·¢ÉäºÍ½ÓÊÕ×°Ö㬵±ÓÐÎïÌå´Óa¡¢b¼äͨ¹ýʱ£¬¹âµç¼ÆÊ±Æ÷¾Í¿ÉÒÔÏÔʾÎïÌåµÄµ²¹âʱ¼ä£®ÏÖÀûÓÃͼ3ËùʾװÖÃÑéÖ¤»úеÄÜÊØºã¶¨ÂÉ£®Í¼3ÖÐABÊǹ̶¨µÄ¹â»¬Ð±Ãæ£¬Ð±ÃæµÄÇã½ÇΪ30¡ã£¬1ºÍ2Êǹ̶¨ÔÚÐ±ÃæÉÏÊʵ±Î»ÖõÄÁ½¸ö¹âµçÃÅ£¬ÓëËüÃÇÁ¬½ÓµÄ¹âµç¼ÆÊ±Æ÷¶¼Ã»Óл­³ö£®Èû¬¿é´ÓÐ±ÃæµÄ¶¥¶Ë»¬Ï£¬¹âµçÃÅ1¡¢2¸÷×ÔÁ¬½ÓµÄ¹âµç¼ÆÊ±Æ÷ÏÔʾµÄµ²¹âʱ¼ä·Ö±ðΪ5.00¡Á10-2s¡¢2.00¡Á10-2s£®ÒÑÖª»¬¿éÖÊÁ¿Îª2.00kg£¬»¬¿éÑØÐ±Ãæ·½ÏòµÄ¿í¶ÈΪ5.00cm£¬¹âµçÃÅ1ºÍ2Ö®¼äµÄ¾àÀëΪ0.540m£¬g=9.80m/s2£¬È¡»¬¿é¾­¹ý¹âµçÃÅʱµÄËÙ¶ÈΪÆäƽ¾ùËÙ¶È£®
¢Ù»¬¿éͨ¹ý¹âµçÃÅ1ʱµÄËÙ¶Èv1=
1.00
1.00
 m/s£¬Í¨¹ý¹âµçÃÅ2ʱµÄËÙ¶Èv2=
2.50
2.50
 m/s£»
¢Ú»¬¿éͨ¹ý¹âµçÃÅ1¡¢2Ö®¼äµÄ¶¯ÄÜÔö¼ÓÁ¿Îª
5.25J
5.25J
 J£¬ÖØÁ¦ÊÆÄܵļõÉÙÁ¿Îª
5.29
5.29
 J£®
£¨1£©¼×¡¢ÒÒ¡¢±û¡¢¶¡ËÄλͬѧÔÚʹÓò»Í¬¾«¶ÈµÄÓα꿨³ßºÍÂÝÐý²â΢Æ÷²âÁ¿Í¬Ò»¸öÎïÌåµÄ³¤¶Èʱ£¬·Ö±ð²âÁ¿µÄ½á¹ûÈçÏ£º
¼×ͬѧ£ºÊ¹ÓÃÓαêΪ50·Ö¶ÈµÄ¿¨³ß£¬¶ÁÊýΪ12.045cm
ÒÒͬѧ£ºÊ¹ÓÃÓαêΪ10·Ö¶ÈµÄ¿¨³ß£¬¶ÁÊýΪ12.04cm
±ûͬѧ£ºÊ¹ÓÃÓαêΪ20·Ö¶ÈµÄ¿¨³ß£¬¶ÁÊýΪ12.045cm
¶¡Í¬Ñ§£ºÊ¹Óþ«¶ÈΪ¡°0.01mm¡±µÄÂÝÐý²â΢Æ÷£¬¶ÁÊýΪ12.040mm
´ÓÕâЩʵÑéÊý¾ÝÖпÉÒÔ¿´³ö¶ÁÊý¿Ï¶¨ÓдíÎóµÄÊÇ
¼×
¼×
ͬѧ£®

£¨2£©Óë´òµã¼ÆÊ±Æ÷Ò»Ñù£¬¹âµç¼ÆÊ±Æ÷Ò²ÊÇÒ»ÖÖÑо¿ÎïÌåÔ˶¯Çé¿öµÄ³£ÓüÆÊ±ÒÇÆ÷£¬Æä½á¹¹Èçͼ1Ëùʾ£¬a¡¢b ·Ö±ðÊǹâµçÃŵļ¤¹â·¢ÉäºÍ½ÓÊÕ×°Ö㬵±ÓÐÎïÌå´Óa¡¢b¼äͨ¹ýʱ£¬¹âµç¼ÆÊ±Æ÷¾Í¿ÉÒÔÏÔʾÎïÌåµÄµ²¹âʱ¼ä£®
ÏÖÀûÓÃͼ2ËùʾװÖÃÑéÖ¤»úеÄÜÊØºã¶¨ÂÉ£®Í¼ÖÐABÊǹ̶¨µÄ¹â»¬Ð±Ãæ£¬Ð±ÃæµÄÇã½ÇΪ300£¬1ºÍ2Êǹ̶¨ÔÚÐ±ÃæÉÏÊʵ±Î»ÖõÄÁ½¸ö¹âµçÃÅ£¬ÓëËüÃÇÁ¬½ÓµÄ¹âµç¼ÆÊ±Æ÷¶¼Ã»Óл­³ö£®Èû¬¿é´ÓÐ±ÃæµÄ¶¥¶Ë»¬Ï£¬¹âµçÃÅ1¡¢2¸÷×ÔÁ¬½ÓµÄ¹âµç¼ÆÊ±Æ÷ÏÔʾµÄµ²¹âʱ¼ä·Ö±ðΪ5.00¡Á10-2s¡¢2.00¡Á10-2s£®ÒÑÖª»¬¿éÖÊÁ¿Îª2.00kg£¬»¬¿éÑØÐ±Ãæ·½ÏòµÄ¿í¶ÈΪ5.00cm£¬¹âµçÃÅ1ºÍ2Ö®¼äµÄ¾àÀëΪ0.540m£¬g=9.80m/s2£¬È¡»¬¿é¾­¹ý¹âµçÃÅʱµÄËÙ¶ÈΪÆäƽ¾ùËÙ¶È£®
¢Ù»¬¿éͨ¹ý¹âµçÃÅ1ʱµÄËÙ¶Èv1=
1.00
1.00
 m/s£¬Í¨¹ý¹âµçÃÅ2ʱµÄËÙ¶Èv2=
2.50
2.50
 m/s£»
¢Ú»¬¿éͨ¹ý¹âµçÃÅ1¡¢2Ö®¼äµÄ¶¯ÄÜÔö¼ÓÁ¿Îª
5.25
5.25
 J£¬ÖØÁ¦ÊÆÄܵļõÉÙÁ¿Îª
5.26
5.26
 J£®
£¨1£©ÔÚ×ö¡°ÓõçÁ÷±íºÍµçѹ±í²âÒ»½Ú¸Éµç³ØµÄµç¶¯ÊƺÍÄÚµç×衱ʵÑéʱ£º
¢ÙijͬѧÁ¬½ÓµÄʵÎïͼÈçͼ1Ëùʾ£®µ«µ±¿ª¹Ø±ÕºÏʱ·¢ÏÖµçѹ±íÓÐʾÊý¶øµçÁ÷±íûÓÐʾÊý£¬ÊµÑéǰÒÇÆ÷¶¼¼ì²é¹ýÊǺõģ¬Ò²¾ÍÊÇ˵ֻ¿ÉÄÜÊÇij¸ùÁ¬½Óµ¼Ïß¶ÏÁË£®ÄÇô£¬ÇëÄã·ÖÎöһϣ¬¿ÉÄÜ·¢Éú¶Ï·¹ÊÕϵĵ¼ÏßÊÇ
2¡¢5¡¢6
2¡¢5¡¢6
£¨Ð´³öËùÓпÉÄܶϵĵ¼ÏߵıàºÅ£©£®
¢ÚijͬѧÔÚʵÑéʱ¶Ô¸Ãµç·×÷Á˸Ľø£¬Æä·½·¨ÊÇ£º¼Ó½ÓÁËÒ»¸ö¶¨Öµµç×èR0£¬Èçͼ2Ëùʾ£®Ëû¼Ó½Ó´Ëµç×èµÄ×÷ÓÃÊÇ
·ÀÖ¹±ä×èÆ÷µç×è¹ýСʱ£¬µç³Ø±»¶Ì·»òµçÁ÷±í±»ÉÕ»µ
·ÀÖ¹±ä×èÆ÷µç×è¹ýСʱ£¬µç³Ø±»¶Ì·»òµçÁ÷±í±»ÉÕ»µ
£®
£¨2£©Óë´òµã¼ÆÊ±Æ÷Ò»Ñù£¬¹âµç¼ÆÊ±Æ÷Ò²ÊÇÒ»ÖÖÑо¿ÎïÌåÔ˶¯Çé¿öµÄ³£ÓüÆÊ±ÒÇÆ÷£¬Æä½á¹¹ÈçͼËùʾ£¬a¡¢b·Ö±ðÊǹâµçÃŵļ¤¹â·¢ÉäºÍ½ÓÊÕ×°Ö㬵±ÓÐÎïÌå´Óa¡¢b¼äͨ¹ýʱ£¬¹âµç¼ÆÊ±Æ÷¾Í¿ÉÒÔÏÔʾÎïÌåͨ¹ýʱµÄµ²¹âʱ¼ä£®

ΪÁ˲ⶨÁ½ÕÅÖ½Ö®¼äµÄ¶¯Ä¦²ÁÒòÊý£¬Ä³Í¬Ñ§ÀûÓùâµç¼ÆÊ±Æ÷Éè¼ÆÁËÒ»¸öʵÑ飺ÈçÓÒͼËùʾ£¬ÔÚСÌú¿éAºÍľ°åBÉÏÌùÉÏ´ý²âµÄÖ½£¬Ä¾°åBˮƽ¹Ì¶¨£¬Ç¦´¸Í¨¹ýϸÏߺÍСÌú¿éÏàÁ¬£®1ºÍ2Êǹ̶¨ÔÚľ°åÉÏÊʵ±Î»ÖõÄÁ½¸ö¹âµçÃÅ£¬ÓëÖ®Á¬½ÓµÄÁ½¸ö¹âµç¼ÆÊ±Æ÷ûÓл­³ö£®ÊÍ·ÅǦ´¸£¬ÈÃСÌú¿éÔÚľ°åÉϼÓËÙÔ˶¯£¬¹âµçÃÅ1¡¢2¸÷×ÔÁ¬½ÓµÄ¼ÆÊ±Æ÷ÏÔʾµÄµ²¹âʱ¼ä·Ö±ðΪ2.0¡Á10-2sºÍ0.5¡Á10-2s£®ÓÃÓα꿨³ß²âÁ¿Ð¡Ìú¿éµÄ¿í¶ÈdÈçÏÂͼËùʾ£®

¢Ù¶Á³öСÌú¿éµÄ¿í¶Èd=
2.015
2.015
cm£®
¢ÚÌú¿éͨ¹ý¹âµçÃÅlµÄËÙ¶Èv1=
1.01
1.01
m/s£¬Ìú¿éͨ¹ý¹âµçÃÅ2µÄËÙ¶Èv2=
4.03
4.03
 m/s£®£¨¼ÆËã½á¹û±£Áô3λÓÐЧÊý×Ö£©
¢ÛÒÑÖªµ±µØµÄÖØÁ¦¼ÓËÙ¶ÈΪg£¬ÎªÍê³É²âÁ¿£¬³ýÁ˲âÁ¿v1¡¢v2ºÍÁ½¸ö¹âµçÃÅÖ®¼äµÄ¾àÀëLÍ⣬»¹Ðè²âÁ¿µÄÎïÀíÁ¿ÓУ¨ÓÃÎÄ×Ö˵Ã÷²¢ÓÃ×Öĸ±íʾ£©
Ìú¿éµÄÖÊÁ¿m¡¢Ç¦´¸µÄÖÊÁ¿M
Ìú¿éµÄÖÊÁ¿m¡¢Ç¦´¸µÄÖÊÁ¿M
£®
¢ÜÓâÛÖи÷Á¿Çó½â¶¯Ä¦²ÁÒòÊýµÄ±í´ïʽ£º¦Ì=
2MgL-(M+m)(
v
2
2
-
v
2
1
)
2mgL
2MgL-(M+m)(
v
2
2
-
v
2
1
)
2mgL
£¨ÓÃ×Öĸ±íʾ£©£®

Î¥·¨ºÍ²»Á¼ÐÅÏ¢¾Ù±¨µç»°£º027-86699610 ¾Ù±¨ÓÊÏ䣺58377363@163.com

¾«Ó¢¼Ò½ÌÍø