题目内容
(1)若从P点水平抛出小沙袋,使其落入小车中,小沙袋被抛出时的初速度应满足什么条件?
(2)若小车经过跑道上A点时(∠AOB=90°),现从P点瞄准B点以某一水平初速度抛出小沙袋,使其落入小车中,则小沙袋被抛出时的初速度V1应满足什么条件?小车的速率 v应满足什么条件?
【答案】分析:(1)沙袋从P点被抛出后做平抛运动,水平方向做匀速直线运动,竖直方向做自由落体运动,由高度h,求出时间.要使沙袋落入小车中,沙袋的水平位移大小应满足:L-R≤x≤L+R,而x=vt,即可求出小沙袋被抛出时的初速度应满足的条件.
(2)要使在小车经过B点时,小沙袋落入小车中,小沙袋的水平位移大小应为
,而平抛运动的时间不变,即可求出小沙袋被抛出时的初速度.在小沙袋做平抛运动的时间内,小车通过的路程可能为s=2
,由v=
求解小车的速率v.
解答:
解:(1)沙袋从P点被抛出后做平抛运动,设它的落地时间为t、沙袋被抛出时的初速度为v1,则

得
L-R≤vt≤L+R
解得
.
(2)当沙袋落在B点时

即
小沙袋被抛出时的初速度为

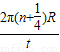
小车的速率为
v=
(n=0、1、2…)
将
代入得
(n=0、1、2…)
答:(1)小沙袋被抛出时的初速度应满足的条件是
.
(2)小沙袋被抛出时的初速度为
,小车的速率v应满足的条件是
(n=0、1、2…).
点评:本题要分别研究沙袋和小车的运动,关键是抓住两个运动的联系和小车运动的周期性.
(2)要使在小车经过B点时,小沙袋落入小车中,小沙袋的水平位移大小应为
解答:
得
L-R≤vt≤L+R
解得
(2)当沙袋落在B点时
即
小沙袋被抛出时的初速度为
小车的速率为
v=
将
答:(1)小沙袋被抛出时的初速度应满足的条件是
(2)小沙袋被抛出时的初速度为
点评:本题要分别研究沙袋和小车的运动,关键是抓住两个运动的联系和小车运动的周期性.
练习册系列答案
相关题目