ÌâÄ¿ÄÚÈÝ

ΪÁËÖ»ÓÃÒ»¸ùµ¯»ÉºÍÒ»°Ñ¿Ì¶È³ß²â¶¨Ä³»¬¿éÓëˮƽ×ÀÃæ¼äµÄ¶¯Ä¦²ÁÒòÊý¦Ì(Éè¦ÌΪ¶¨Öµ)£¬Ä³Í¬Ñ§¾­²éÔÄ×ÊÁÏÖªµÀ£ºÒ»¾¢¶ÈϵÊýΪkµÄÇᵯ»ÉÓÉÉ쳤Á¿ÎªxÖÁ»Ö¸´Ô­³¤¹ý³ÌÖУ¬µ¯Á¦Ëù×öµÄ¹¦Îªkx2£®ÓÚÊÇËûÉè¼ÆÁËÏÂÊöʵÑ飺

µÚÒ»²½£ºÈçͼËùʾ£¬½«µ¯»ÉµÄÒ»¶Ë¹Ì¶¨ÔÚÊúֱǽÉÏ£¬Ê¹»¬¿é½ô¿¿µ¯»É½«ÆäѹËõ£¬ËÉÊֺ󻬿éÔÚˮƽ×ÀÃæÉÏ»¬ÐÐÒ»¶Î¾àÀëºóÍ£Ö¹£»

µÚ¶þ²½£º½«»¬¿é¹ÒÔÚÊúÖ±·ÅÖõĵ¯»ÉÏ£¬µ¯»ÉÉ쳤ºó±£³Ö¾²Ö¹×´Ì¬£®

»Ø´ðÏÂÁÐÎÊÌ⣺

(1)

¶ÔÓÚËÉÊֺ󻬿éÔÚˮƽ×ÀÃæÉÏ»¬¶¯¹ý³ÌÖÐÓйØÎïÀíÁ¿µÄÃèÊö£¬ÏÂÁÐ˵·¨ÕýÈ·µÄÊÇ

[¡¡¡¡]

A£®

µ±µ¯»É»Ö¸´Ô­³¤Ê±£¬»¬¿éµÄ¼ÓËÙ¶È´ï×î´óÖµ

B£®

µ±µ¯»É»Ö¸´Ô­³¤Ê±£¬»¬¿éµÄËÙ¶È´ï×î´óÖµ

C£®

»¬¿éµÄ¼ÓËÙ¶ÈÏÈÔö´óºó¼õС£¬È»ºó±£³Ö²»±ä

D£®

»¬¿éµÄ¼ÓËÙ¶ÈÏȼõСºóÔö´ó£¬È»ºó±£³Ö²»±ä

(2)

ÄãÈÏΪ¸ÃͬѧӦ¸ÃÓÿ̶ȳßÖ±½Ó²âÁ¿µÄÎïÀíÁ¿ÊÇ(д³öÃû³Æ²¢Ó÷ûºÅ±íʾ)£º________£®

(3)

ÓÃÖ±½Ó²âµÃµÄÎïÀíÁ¿±íʾ»¬¿éÓëˮƽ×ÀÃæ¼ä¶¯Ä¦²ÁÒòÊý¦ÌµÄ¼ÆËãʽ¦Ì£½________£®

´ð°¸£º1£®D;
½âÎö£º

(2)

(3)


Á·Ï°²áϵÁдð°¸
Ïà¹ØÌâÄ¿
ΪÁËÖ»ÓÃÒ»¸ùµ¯»ÉºÍÒ»°Ñ¿Ì¶È³ß²â¶¨Ä³»¬¿éÓëˮƽ×ÀÃæ¼äµÄ¶¯Ä¦²ÁÒòÊý¦Ì£¨Éè¦ÌΪ¶¨Öµ£©£¬Ä³Í¬Ñ§¾­²éÔÄ×ÊÁÏÖªµÀ£ºÒ»¾¢¶ÈϵÊýΪkµÄÇᵯ»ÉÓÉÉ쳤Á¿ÎªxÖÁ»Ö¸´Ô­³¤¹ý³ÌÖУ¬µ¯Á¦Ëù×öµÄ¹¦Îª
1
2
kx2£®ÓÚÊÇËûÉè¼ÆÁËÏÂÊöʵÑ飺
µÚÒ»²½£ºÈçͼËùʾ£¬½«µ¯»ÉµÄÒ»¶Ë¹Ì¶¨ÔÚÊúֱǽÉÏ£¬Ê¹»¬¿é½ô¿¿µ¯»É½«ÆäѹËõ£¬ËÉÊֺ󻬿éÔÚˮƽ×ÀÃæÉÏ»¬ÐÐÒ»¶Î¾àÀëºóÍ£Ö¹£»
µÚ¶þ²½£º½«»¬¿é¹ÒÔÚÊúÖ±·ÅÖõĵ¯»ÉÏ£¬µ¯»ÉÉ쳤ºó±£³Ö¾²Ö¹×´Ì¬£®
»Ø´ðÏÂÁÐÎÊÌ⣺
£¨1£©¶ÔÓÚËÉÊֺ󻬿éÔÚˮƽ×ÀÃæÉÏ»¬¶¯¹ý³ÌÖÐÓйØÎïÀíÁ¿µÄÃèÊö£¬ÏÂÁÐ˵·¨ÕýÈ·µÄÊÇ
D
D

A£®µ±µ¯»É»Ö¸´Ô­³¤Ê±£¬»¬¿éµÄ¼ÓËÙ¶È´ï×î´óÖµ
B£®µ±µ¯»É»Ö¸´Ô­³¤Ê±£¬»¬¿éµÄËÙ¶È´ï×î´óÖµ
C£®»¬¿éµÄ¼ÓËÙ¶ÈÏÈÔö´óºó¼õС£¬È»ºó±£³Ö²»±ä
D£®»¬¿éµÄ¼ÓËÙ¶ÈÏȼõСºóÔö´ó£¬È»ºó±£³Ö²»±ä
£¨2£©ÄãÈÏΪ¸ÃͬѧӦ¸ÃÓÿ̶ȳßÖ±½Ó²âÁ¿µÄÎïÀíÁ¿ÊÇ£¨Ð´³öÃû³Æ²¢Ó÷ûºÅ±íʾ£©£º_
µ¯»ÉµÄÔ­³¤L0£¬µ¯»É±»Ñ¹ËõʱµÄ³¤¶ÈL1£¬»¬¿é»¬ÐеľàÀëS£¬µ¯»ÉÐü¹Ò»¬¿éʱµÄ³¤¶ÈL2£¬
µ¯»ÉµÄÔ­³¤L0£¬µ¯»É±»Ñ¹ËõʱµÄ³¤¶ÈL1£¬»¬¿é»¬ÐеľàÀëS£¬µ¯»ÉÐü¹Ò»¬¿éʱµÄ³¤¶ÈL2£¬
£®
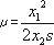
£¨3£©ÓÃÖ±½Ó²âµÃµÄÎïÀíÁ¿±íʾ»¬¿éÓëˮƽ×ÀÃæ¼ä¶¯Ä¦²ÁÒòÊý¦ÌµÄ¼ÆËãʽ¦Ì=
(l0-l1)2
2(l2-l0)S
(l0-l1)2
2(l2-l0)S
£®
¾«Ó¢¼Ò½ÌÍøÎªÁËÖ»ÓÃÒ»¸ùµ¯»ÉºÍÒ»°Ñ¿Ì¶È³ß²â¶¨Ä³»¬¿éÓëˮƽ×ÀÃæ¼äµÄ¶¯Ä¦²ÁÒòÊý¦Ì£¨Éè¦ÌΪ¶¨Öµ£©£¬Ä³Í¬Ñ§¾­²éÔÄ×ÊÁÏÖª£ºÒ»¾¢¶ÈϵÊýΪkµÄÇᵯ»ÉÓÉѹËõÁ¿ÎªxÖÁ»Ö¸´µ½Ô­³¤µÄ¹ý³ÌÖУ¬µ¯Á¦Ëù×öµÄ¹¦Îª
kx22
£®ÓÚÊÇËûÉè¼ÆÁËÏÂÁÐʵÑ飺
µÚÒ»²½£ºÈçͼ½«µ¯»ÉµÄÒ»¶Ë¹Ì¶¨ÔÚÊúֱǽÉÏ£¬Ê¹»¬¿é½ô¿¿µ¯»É½«ÆäѹËõ£¬ËÉÊֺ󻬿éÔÚË®Æ½ÃæÉÏ»¬ÐÐÒ»¶Î¾àÀëºóͣϣ»
µÚ¶þ²½£º½«»¬¿é¹ÒÔÚÊúÖ±·ÅÖõĵ¯»ÉÏ£¬µ¯»ÉÉ쳤ºó±£³Ö¾²Ö¹×´Ì¬£®
»Ø´ðÏÂÁÐÎÊÌ⣺
£¨1£©¶ÔÓÚËÉÊֺ󻬿éÔÚˮƽ×ÀÃæÉÏ»¬¶¯¹ý³ÌÖÐÓйØÎïÀíÁ¿µÄÃèÊö£¬ÕýÈ·µÄÊÇ
 

¢Ùµ±µ¯»É»Ö¸´Ô­³¤Ê±£¬»¬¿éµÄ¼ÓËÙ¶È´ïµ½×î´óÖµ¡¡¡¡¢Úµ±µ¯»É»Ö¸´Ô­³¤Ê±£¬»¬¿éµÄËÙ¶È´ïµ½×î´óÖµ
¢Û»¬¿éµÄ¼ÓËÙ¶ÈÏÈÔö´ó£¬ºó¼õС£¬È»ºó±£³Ö²»±ä¡¡¡¡¢Ü»¬¿éµÄ¼ÓËÙ¶ÈÏȼõС£¬ºóÔö´ó£¬È»ºó±£³Ö²»±ä
A£®¢Ù¢ÛB£®¢Ú¢ÜC£®¢ÛD£®¢Ü
£¨2£©ÄãÈÏΪ¸ÃͬѧӦ¸ÃÓÿ̶ȳßÖ±½Ó²âÁ¿µÄÎïÀíÁ¿ÊÇ£¨Ð´³öÃû³Æ²¢Ó÷ûºÅ±íʾ£»µ±µØÖØÁ¦¼ÓËÙ¶ÈgΪÒÑÖª£©
 

£¨3£©ÓòâµÃµÄÎïÀíÁ¿±íʾ»¬¿éÓëˮƽ×ÀÃæ¼äµÄ¶¯Ä¦²ÁÒòÊý¦ÌµÄ¼ÆËãʽ£®£¨Ð´³öÔËËã¹ý³Ì£©

Î¥·¨ºÍ²»Á¼ÐÅÏ¢¾Ù±¨µç»°£º027-86699610 ¾Ù±¨ÓÊÏ䣺58377363@163.com

¾«Ó¢¼Ò½ÌÍø